网站首页  词典首页


请输入您要查询的字词:

 

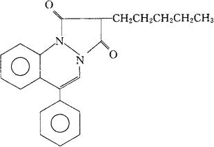
字词 辛喷他宗
类别 中英文字词句释义及详细解析
释义 辛喷他宗

C22H22N2O2=346.43

CAS-2056-56-6

2-戊基-6-苯基-1H-吡唑并[1,2-α](噌)肉啉-1,3(2H)-二酮。

1H-Pyrazolo[1,2-a]cinnoline-1,3(2H)-dione,2-pentyl-6-phenyl-.

2-戊基-6-苯基-1H-吡唑并[1,2-a]噌啉-1,3(2H)-二酮。

2-Pentyl-6-phenyl-1H-pyrazolo[1,2-a]cinnoline-1,3(2H)-dione.

消炎药。

逊大唑,西诺戊宗,西诺他宗。

Cinnopentazone,Cintazone,AHR-3015,Scha-306,NSC-102825.

INN,USAN.

随便看

 

离鸟网收录3541549条中英文词条,其功能与新华字典、现代汉语词典、牛津高阶英汉词典等各类中英文词典类似,基本涵盖了全部常用中英文字词句的读音、释义及用法,是语言学习和写作的有利工具。

 

Copyright © 2004-2024 vtrois.com All Rights Reserved
更新时间:2026/4/21 3:11:23