网站首页  词典首页


请输入您要查询的字词:

 

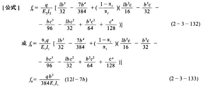
字词 辊面部分辊筒由弯曲力矩产生的最大挠度计算
类别 中英文字词句释义及详细解析
释义 辊面部分辊筒由弯曲力矩产生的最大挠度计算

[说明]该部分的最大挠度fb的计算有两种公式,在计算辊面相对挠曲率时,一般可用式2-3-132;对于普通的管辊,通常可用简式2-3-133,这样计算误差较小,并偏于安全。

随便看

 

离鸟网收录3541549条中英文词条,其功能与新华字典、现代汉语词典、牛津高阶英汉词典等各类中英文词典类似,基本涵盖了全部常用中英文字词句的读音、释义及用法,是语言学习和写作的有利工具。

 

Copyright © 2004-2024 vtrois.com All Rights Reserved
更新时间:2026/4/18 16:15:16