网站首页  词典首页


请输入您要查询的字词:

 

字词 辊子中高度对毛毯线的影响
类别 中英文字词句释义及详细解析
释义 辊子中高度对毛毯线的影响

举例:如压榨辊直径800mm,中高为0.7mm,毛毯长16m,毛毯包角90°,辊子转一圈毛毯中间比两侧超前:

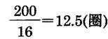
如纸机车速为200m/min,压榨辊每分钟转的圈数为:

则每分钟毛毯中间因中高产生超前值为:

毛毯两侧长度为16m,毛毯中间长度为:

即毛毯转一圈,中间要滞后

抄速为200m/min,则毛毯每分钟运行圈数为:

因此毛毯中间每分钟滞后

超前减去滞后,每分钟尚超前

当然由于毛毯和辊面间实际上存在一定的滑动,因此实际上的超前值不会这么大。但是要有一定的超前却是肯定的。

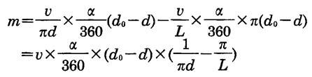
若将上述情况归纳成一个公式

式中 v——车速,m/min

m——毛毯超前值,m/min

α——毛毯在压榨辊上的包角,度

d——压榨辊两端的直径,m

d0——压榨辊中间的直径,m

L——毛毯长,m

从这个公式,可以看出以下几点:

车速越高,越前值越大;包角越大,超前值越大;中高越大,超前值越大;毛毯越长,超前值越大。

随便看

 

离鸟网收录3541549条中英文词条,其功能与新华字典、现代汉语词典、牛津高阶英汉词典等各类中英文词典类似,基本涵盖了全部常用中英文字词句的读音、释义及用法,是语言学习和写作的有利工具。

 

Copyright © 2004-2024 vtrois.com All Rights Reserved
更新时间:2026/4/18 17:36:06