网站首页  词典首页


请输入您要查询的字词:

 

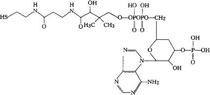
字词 辅酶A[中]
类别 中英文字词句释义及详细解析
释义 辅酶A[中]

C21H36N7O16P3S=767.54

CAS-85-61-0

辅酶类药。

用于白细胞减少症、原发性血小板减少性紫癜及功能性低热等。

Conezyme A,CoA,CoASH.

注射用辅酶A(注射用磷酸烟苷)。

MI.

随便看

 

离鸟网收录3541549条中英文词条,其功能与新华字典、现代汉语词典、牛津高阶英汉词典等各类中英文词典类似,基本涵盖了全部常用中英文字词句的读音、释义及用法,是语言学习和写作的有利工具。

 

Copyright © 2004-2024 vtrois.com All Rights Reserved
更新时间:2026/4/19 6:58:57