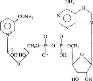
辅酶
C21H27N7O14P2=663.43 CAS-53-84-9 腺苷5′-(三氢二磷酸盐),5′→5′-酯与3-(氨基羰基)-1-β-D-呋喃核糖基吡啶鎓氢氧化物,内盐。 Adenosine 5′-(trihydrogen diphosphate),5′-→5′-ester with 3-(aminocarbonyl)-1-β-D-ribofuranosylpyridinium,hydroxide,inner salt. 3-氨基甲酰-1-β-D-呋喃核糖基吡啶鎓氢氧化物,5-酯与腺苷5′-焦磷酸,内盐。 3-Carbamoyl-1-β-D-ribofuranosylpyridinium hydroxide,5′-ester with adenosinee 5′-pyrophosphate,in ner salt. 辅脱氢酶 I。 Codehydrogenase I. 解毒药。 Nadide,DPN,CO-I,NAD,NSC-20272. INN,USAN. 
|