网站首页  词典首页


请输入您要查询的字词:

 

字词 轻重配装
类别 中英文字词句释义及详细解析
释义 轻重配装

以整车托运的重质货物和轻浮货物的配合装载。

其目的是充分利用货车的载重力和容积,节约货车吨位。装车时应先装重质货物,后装轻浮货物。

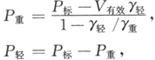
为了使配装得到最大效果,必须使所装货物的加权平均单位体积重量等于车辆的比载重,并定出重质货物和轻浮货物的正确比例,其计算公式为:

式中:P——货车标记载重量(t);

V有效——货车有效容积(m3);

P——应装的重质货物(t);

P——应装的轻浮货物(t);

γ——重质货物单位体积重量(t/m3);

γ——轻浮货物单位体积重量(t/m3)。

在实际工作中,利用上述公式编制各种类型配装表,在组织配装时,根据轻重货物的单位体积重量和使用的车型,从配装表中即可查出应配装的轻重货物吨数。

随便看

 

离鸟网收录3541549条中英文词条,其功能与新华字典、现代汉语词典、牛津高阶英汉词典等各类中英文词典类似,基本涵盖了全部常用中英文字词句的读音、释义及用法,是语言学习和写作的有利工具。

 

Copyright © 2004-2024 vtrois.com All Rights Reserved
更新时间:2026/4/20 1:14:42