网站首页  词典首页


请输入您要查询的字词:

 

字词 足叶乙甙[中]
类别 中英文字词句释义及详细解析
释义 足叶乙甙[中]

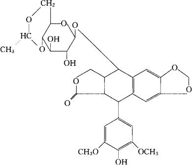
C29H32O13=588.56

CAS-33419-42-0

4′-去甲基表鬼臼毒9-[4,6-O-(R)-亚乙基-β-D-吡喃葡糖甙]。

4′-Demethylepipodophyllotoxin 9-[4,6-O-(R)-ethylidene-β-D-glucopyranoside].

抗肿瘤药。用于小细胞肺癌、白血病、恶性淋巴瘤、睾丸癌。

依托泊甙。

Etoposide,Vepesid,EPEG.

足叶乙甙注射液。

USAN,MI.

随便看

 

离鸟网收录3541549条中英文词条,其功能与新华字典、现代汉语词典、牛津高阶英汉词典等各类中英文词典类似,基本涵盖了全部常用中英文字词句的读音、释义及用法,是语言学习和写作的有利工具。

 

Copyright © 2004-2024 vtrois.com All Rights Reserved
更新时间:2026/4/18 13:20:41