网站首页  词典首页


请输入您要查询的字词:

 

字词 趋势预测法
类别 中英文字词句释义及详细解析
释义 趋势预测法

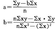
这种方法是根据回归分析原理,通过建立y=a+bx模式,预测资金需要量的一种方法。

设:y=a+bx

其中:

y——资金需要量;

x——销售收入;

a——资金的固定额度;

b——每天销售收入资金的变动额度;

n——年份。

例:假定某企业前几年有关销售收入和资金运用总额(或资产总额)及用回归分析的资料

如下:

则:y=9.425+0.13864x

若第7年销售收入为100万元

y7=7.425+0.13864×100=23.289(万元)

随便看

 

离鸟网收录3541549条中英文词条,其功能与新华字典、现代汉语词典、牛津高阶英汉词典等各类中英文词典类似,基本涵盖了全部常用中英文字词句的读音、释义及用法,是语言学习和写作的有利工具。

 

Copyright © 2004-2024 vtrois.com All Rights Reserved
更新时间:2026/4/19 10:11:48