网站首页  词典首页


请输入您要查询的字词:

 

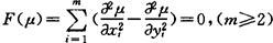
字词 超双曲型方程定性研究
类别 中英文字词句释义及详细解析
释义 超双曲型方程定性研究

1923年,哈达玛(J.Hadmard)提出:“超双曲型方程似乎不具有任何正确地提出问题,即不具有与微分方程一起给出辅助的边界条件以保证解的唯一性和存在性”。

1946年,彼得罗夫斯基(I.G.Petrowsky)作了类似的陈述:“对于相当大一类偏微分方程,我们不知道任何正确提出的问题,超双曲型方程似乎就是其中之一”。1960年,欧文斯(O.G.Owens)认为:“哈达玛-彼得罗夫斯基断言,主要适用于非特征问题”。

由此可见,超双曲型方程问题的提法,即对超双曲型方程支柱上的数据该怎样取,问题才变为可能,支柱如何选择,定解问题才为适定?应该是超双曲型方程研究的中心课题,即超双曲型方程定性研究的内容。

首先引人注意的是阿斯盖生(L.Asgeirsson)在20世纪30年代的工作,他主要证明超双曲型方程

的解的中量性质:

设R2m是2m维空间内一闭单联域,μ是F(μ)=0在R2m内的正规解,()是R2m内任一内点,t0是由不等式

所限定的点组成的域整个在R2m内的正数,则当ρ,α是适合不等式,ρ+α<t0的任到正数时,μ在上的中量,等于它在上的中量,即中量

是ρ,σ的对称函数。

此即著名的阿斯盖生定理,这个定理的重要性不仅在于可以用它来讨论波动方程的柯西(A.L.Cauchy)问题、特征问题以及超双曲型方程的特征问题等一系列问题的适定性,而且可以用它来建立超双曲型方程的解的某种奇特的拓展性:

对于一般超双曲型方程

假定在域

给定了初值μ(y,x,0),那未,它在区域

上就是已知的,并且解μ(y,x,t)在区域

上便被唯一确定。

这个解的奇异拓展性的结果有两层意义,一是深刻而统一地说明了某些定解问题不适定的根本原因,如波动方程的柯西问题(支柱为时向)、位势方程的柯西问题以及超双曲型方程的柯西问题等,再是有推进多实变函数发展的可能性。

20世纪40年代末至60年代,超双曲型方程的研究,主要集中在各种定解问题的提法上,并得到一系列启发性结果。1942年,翁斯(G.Owens)利用里曼(G.F.B.Riemann)方法的推广,对四变元超双曲型方程证明以下事实:解在特征锥顶点的值依赖于被特征锥截出的初始曲面上解的值,以及解的有限次微商的值;并由此显式解可以得到柯西问题初值必需满足的条件。1948年,彼斯尼柯夫(N.S.Piskunov)用分离变量的方法解决了四变元超双曲型方程特征问题的解的存在性与唯一性,1961年,布拉哥森斯基(A.S.Blagoveseenski)利用积分几何的结果及解的中量定理解决了2m个变元的这类问题。

1962年,欧文斯就四变元非齐次超双曲型方程齐次狄立克雷(P.G.Dirichlet)问题用特征函数与特征值构造级数形式的解,证明了解的存在性与唯一性。

70年代随著微分算子的发展,超双曲算子的研究引人注目。1974年,摩瑞(A.C.Marry)、普劳特(M.H.Protter)研究了超双曲算子的渐近性态与柯西问题。

1978年,奥格瓦(H.Ogawa)研究了超双曲不等式的解的能量衰减。1979年,他又对更一般的超双曲型方程的此类问题作了探讨,从而较深刻地了解了超双曲型方程的解在无穷远的性态。

80年代以来,以吴新谋为代表的线性偏微分方程定性研究者认为,所有线性偏微分方程,应该并且可以用基本解来解决。根据这一思想,对超双曲型方程作了系统的探讨。

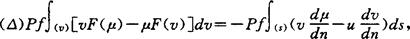
1983年,凌岭从超双曲型方程的基本公式与基本解出发,则有

其中(V)上的点是适合下列二不等式

所代表的点,(S)为其边界,n为(S)的内法线方向,“Pf”为发散积分的有限部分,μ为超双曲型方程F(μ)=0的正规解,v为基本解Г1-m,Г是两点(x,y),(x0,y0)间测地距离的平方。计算(Δ)两端发散积分有限部分,定义解的中量M,从而给出阿斯盖生定理的新证明。此新证明的意义不仅在于给出了定理证明的全分析过程(过去证明只是综合性的),更重要的是把超双曲型方程的研究纳入哈达玛理论之中,同时指明超双曲型方程的研究,自然应通过基本解,为研究此类方程各种问题,另辟一条途径。在此基础上,提出超双曲型方程广义势解的概念,此广义势解是由基本解乘以正规函数并取发散积分的有限部分构成,同时证明此广义势解是非解析的。

1990年,凌岭又通过基本解系统研究了超双曲型方程的解的性质,并证明任意变元超双曲方程狄立克雷问题的解的存在性与唯一性。

超双曲型方程定性研究,是建立偏微分方程定性理论的一个组成部分,很多问题有待研究发掘。主要是:变系数超双曲型方程中量性质的建立、解的奇特拓展性质的研究、利用解的中量性质及解的拓展性质、统一研究各类问题的适定性与不适定性;建立广义势理论与发散积分有限部分方程的反演理论,从而系统研究超双曲型方程的各类边值问题;基本解在研究各种新方程的解的性质与定解问题的提法起著关键作用、研究基本解的构造(高阶)与性质,必有助于定解问题的解决;多复变函数论提出大量超双曲型方程(组),这类问题的研究,既丰富超双曲型方程定性研究的内容,又将促进多复变函数论里曼理论的建立。

【参考文献】:

1 Owens Glyun.Math J,1942,9∶272~282

2 Piskunov N S.Doklady Acad Nauk,SSSR(N.S),1948,59∶439~442

3 O G Owens.Amer J Math,1952,74∶309~316

4 吴新谋,等.数学物理方程(第2册).北京:科学出版社,1959.44~52∶264~273

5 Blagovescenski A S.Dokl SSSR,1961,140∶990~993

6 Murray A C,Protter M H.Math J,1974,75∶24∶115~130

7 Ogawa H J.Diff equa,1979,1∶73~84

8 凌岭,等.数学学报,1983,26(1)∶108~113

9 凌岭.数学学报,1990,33(4)∶497~504

(西北大学凌岭教授撰)

随便看

 

离鸟网收录3541549条中英文词条,其功能与新华字典、现代汉语词典、牛津高阶英汉词典等各类中英文词典类似,基本涵盖了全部常用中英文字词句的读音、释义及用法,是语言学习和写作的有利工具。

 

Copyright © 2004-2024 vtrois.com All Rights Reserved
更新时间:2026/4/20 16:05:44