网站首页  词典首页


请输入您要查询的字词:

 

字词 赤霉素A3[中]
类别 中英文字词句释义及详细解析
释义 赤霉素A3[中]

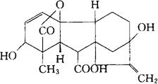
C19H22O6=346.37

CAS-77-06-5

2,4α,7-三羟基-1-甲基-8-亚甲基赤霉-3-烯-1,10-二羧酸1,4α-内酯。

2,4α,7-Trihydroxy-1-methyl-8-methylenegibb-3-ene-1,10-dicarboxylic acid 1,4α-lactone.

激素类药。用于胃及十二指肠溃疡、再生障碍性贫血等。

赤霉素,九二〇。

Gibberellin A3,Gibberellic Acid.

赤霉素A3片,赤霉素生发水(九二〇生发水),赤霉素注射液(赤霉素A3注射液,九二〇注射液),赤霉素软膏(九二〇软膏)。

MI.

随便看

 

离鸟网收录3541549条中英文词条,其功能与新华字典、现代汉语词典、牛津高阶英汉词典等各类中英文词典类似,基本涵盖了全部常用中英文字词句的读音、释义及用法,是语言学习和写作的有利工具。

 

Copyright © 2004-2024 vtrois.com All Rights Reserved
更新时间:2026/4/20 7:46:11