网站首页  词典首页


请输入您要查询的字词:

 

字词 资金成本
类别 中英文字词句释义及详细解析
释义 资金成本

资金成本是取得和使用资金而付出的代价。资金成本是财务管理中的一个重要概念,企业不仅在资金筹集和盈利分配中必须考虑资金成本问题,而且也是固定资产投资中必须考虑的一个重要因素。固定资产投资的资金成本,是企业用于固定资产投资的各种资金来源的资金成本,是企业资金成本的核心内容。资金成本对于固定资产投资非常重要,它是衡量投资方案能否被接受的一个重要标准。如果一个投资方案的资金成本低于预期的投资报酬率,那么该投资方案就可以被采用。反之,如果资金成本高于投资报酬率,那么该投资方案就不能被接受,应该被舍弃。因此,资金成本是固定资产投资方案决策的取舍标准,故称之为“取舍率”或“舍弃率”。

1.固定资产投资的有关资金成本

固定资产投资的资金一般通过发行股票(包括普通股和优先股),发行债券、经营积累以及长期借款等方式筹集的。投资的资金成本主要包括债券成本、优先股成本、普通股成本、留存盈余成本、长期借款成本等。企业通过各种筹资方式取得资金并用于固定资产投资,必须为此付出一定的代价,即需向股东、债权人支付股利、利息等作为报酬。这种必须支付的报酬就是资金成本。在财务管理中,资金成本一般用相对数表示,即用支付的报酬与提供资金的比率来表示。下面介绍几种主要的资金成本计算的基本方法。

(1)债券成本

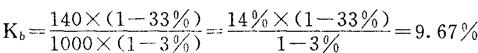
债券成本,是指通过发行长期债券用于固定资产投资的资金的成本。债券成本的表现形式是向债券购买者支付的利息。计算债券成本就是确定债券的实际利息率。债券的实际利息率是实际支付的利息额占实际用于投资的资金额的比率。由于债券的利息一般在企业税前支付,因此实际支付的利息额应扣除少交纳的所得税额。同时,由于企业在发行债券时,需发生一定的筹资费用,因此,企业发行债券的总额,扣除筹资费用后的部分才是实际用于固定资产投资的并负担利息的资金。其计算方法可用公式表示如下:

式中:Kb——债券成本

I——每年债券利息支出

T——所得税税率

B——债券发行总额

f—筹资费用率

该计算公式是假定债券期限较长,且每年利息支出相等,将年利息支出看作为永续等额年金条件下推导出来的。

例:某企业发行期限为20年的债券1000万元,债券票面利率为14%,发行费用率为3%,所得税税率为33%。其债券成本计算如下:

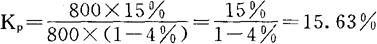
(2)优先股成本

优先股是股票的一种。其特点是没有固定的期限,需定期支付股利,且股利在税后支付,同时在优先股发行时也需支付一定的筹资费用。优先股成本的计算公式如下:

式中:Kp——优先股成本

D—优先股每年支付的股利

P0—优先股发行总额

f—优先股筹资费用率

例:某公司发行800万元优先股,发行费用率为4%,每年支付15%的股利。则优先股成本为:

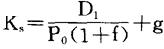
(3)普通股成本

普通股的特点在于每年支付的股利不是固定不变的,而是随公司经营情况而变动的。若普通股每年支付的股利固定不变,股利则为永续年金支出,其资金成本的计算与优先股相同。计算公式为:

式中:Ks——普通股成本

D——普通股每年支付的股利

P0——普通股发行总额

f——普通股发行费用率

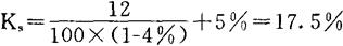
在一般情况下,公司普通股的股利是不断增加的。若普通股股利每年以固定比率增加,其资金成本计算公式如下:

式中:g为普通股股利年增长率,D1为第1年来发放股利。

该公式可通过普通股股票投资现值计算的方法加经推导。推导过程从略。

例:某公司发行的普通股每股市价为100元,发行费用率为4%,第一年年末发放股利为12元;以后每年以5%比率增长。则普通股成本为:

(4)留存盈余成本

留存盈余是企业固定资产投资的一个重要来源。对企业来说,一般都不会将全部盈余以股利形式分给股东,而是将一部分盈余对企业进行追加投资。企业以留存盈余追加的投资,与原来投入企业的股本一样,要求获得一定的报酬。因此留存盈余成本的计算与普通股成本计算基本相同。区别仅在于不需考虑筹资费用。

计算公式如下:

式中:K——留存盈余成本

D1——第1年年末末支付的股利

V0——留存盈利投资额

g——股利年增长率

例:某公司用留存盈余追加投资,普通股每股市价为100元,第1年末的股利为12元,以后每年增长5%。则留存盈利成本为:

2.固定资产投资的加权平均资金成本

一个固定资产投资项目所需的资金,可以从不同的渠道,运用多种筹资方式取得。由于各种筹资方式取得的资金,其成本是不相同的,为了正确地进行投资决策,还必须计算和比较投资的加权平均资金成本。加权平均资金成本是投资项目的各种筹资方式的资金成本,按照其资金在投资总额中所占的比重进行加权平均计算的资金成本。计算公式如下:

Kw=ΣkiWj

式中:Kw——加权平均资金成本

Kj——第j种资金的成本

Wj——第j种资金占投资总额的比重

例:某投资项目的投资总额为200万元,其中发行债券50万元,发行优先股20万元,发行普通股70万元,动用留存盈利60万元。上述债券、优先股、普通股和留存盈利的资金成本分别为7%、12%、16.5%、16%。该投资项目加权平均资金成本计算如下:

❶ 各种资金所占比重:

债券:50/200×100%=25%

优先股:20/200×100%=10%

普通股:70/200×100%=35%

留存盈利:60/200×100%=30%

❷ 加权平均资金成本:

Kw=7%×25%+12%×10%+16.5%×35%+16%×30%=13.525%

随便看

 

离鸟网收录3541549条中英文词条,其功能与新华字典、现代汉语词典、牛津高阶英汉词典等各类中英文词典类似,基本涵盖了全部常用中英文字词句的读音、释义及用法,是语言学习和写作的有利工具。

 

Copyright © 2004-2024 vtrois.com All Rights Reserved
更新时间:2026/4/17 22:41:06