网站首页  词典首页


请输入您要查询的字词:

 

字词 资源协调法
类别 中英文字词句释义及详细解析
释义 资源协调法

当总资源有限而有若干个互相独立的项目时,为了使得总收益最大而将资源在各个项目之间协调的方法。

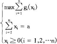
资源协调有许多不同的模型,这里简要地介绍一下运筹学中的动态规划模型。假定某种资源的总量为a,可用于n个项目,第i个项目的收益是该项目投入资源的函数,记为gi(xi),表示项目i在资源投入为xi时,产出的收益。

问如何协调这种资源于几种项目,使得总收益最大?其模型如下:

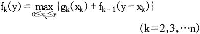
利用动态规划方法求解,令:

fk(y)=在资源数量限制为y,仅从前k个项目中选择目标项目可以获得的最大收益。

根据动态规划的最优化原则,得

求解这个方程,就可求得最优的资源分配方案。

直观地看,资源应优先分配到边际收益最大的项目之中,直到其边际收益降到低于其他项目为止。

随便看

 

离鸟网收录3541549条中英文词条,其功能与新华字典、现代汉语词典、牛津高阶英汉词典等各类中英文词典类似,基本涵盖了全部常用中英文字词句的读音、释义及用法,是语言学习和写作的有利工具。

 

Copyright © 2004-2024 vtrois.com All Rights Reserved
更新时间:2026/4/19 11:48:28