资本成本
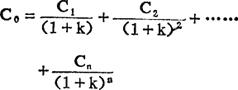
亦称“资金成本”、“资本成本率”。 指企业取得和使用长期投资的资本所负担的成本。企业长期投资资本来源的渠道很多,如普通股、优先股、债券、留存的税后净利、可交换债券、以及长期借款等,它们的共同点是资本的取得是有偿的,要向提供资本的股东、债券持有人及各种债权人支付股息、利息等作为报酬。 不同的资本来源,资本成本高低不同,其通用的计算公式是:  或简写为:  式中:C0——企业取得的资本; Ct——t年末企业向资本提供者偿付的本利和; n——企业取得资本至向资本提供者偿付本利和的持续年数; k——资本成本。 这个基本公式运用于各种不同资本来源时,C0和Ct具有不同的具体内容。 资本成本在长期投资决策中非常重要,通常可以用作选定和否定投资方案的依据。所以资本成本又被看成是“极限利率”、“舍弃率”、“切割率”。凡投资项目的投资报酬率低于资本成本,该投资项目就不可行;反之,投资报酬率高于资本成本,该投资项目便是可接受的。 |