网站首页  词典首页


请输入您要查询的字词:

 

字词 贸易条件弹性
类别 中英文字词句释义及详细解析
释义 贸易条件弹性

指一个国家的进出口商品比价对汇率的弹性。

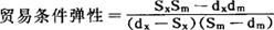
通过它可以了解货币贬值是否会改善或恶化一个国家的贸易条件,即贬值是否使该国更易或更难用它每单位出口商品去购买进口商品,这取决于进、出口商品的供求弹性。计算公式为:

式中:dx,dm为出口和进口的需求弹性;Sx,Sm为出口和进口的供给弹性。

上式表明,需求与供给比较,其弹性越大,货币贬值对贸易条件的影响就越好。

具体有:如dxdm>SxSm,则贬值使贸易条件改善;如dxdm=SxSm,则贬值使贸易条件不变;如dxdm<SxSm,则贬值使贸易条件恶化。

随便看

 

离鸟网收录3541549条中英文词条,其功能与新华字典、现代汉语词典、牛津高阶英汉词典等各类中英文词典类似,基本涵盖了全部常用中英文字词句的读音、释义及用法,是语言学习和写作的有利工具。

 

Copyright © 2004-2024 vtrois.com All Rights Reserved
更新时间:2026/4/20 7:55:48