网站首页  词典首页


请输入您要查询的字词:

 

字词 贴现值
类别 中英文字词句释义及详细解析
释义 贴现值

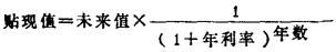
或称现值,若干时间后,某一金额的现时价值。它反映了货币的时间价值,是现金流量计算使用的重要指标。把未来金额(未来值)折算为现值的过程,称为贴现。现值也可以折算为未来值,二者的折算均按复利原理进行。当年利率愈高时,未来值折算的现值愈小,反之则愈大。贴现值的计算公式为:

随便看

 

离鸟网收录3541549条中英文词条,其功能与新华字典、现代汉语词典、牛津高阶英汉词典等各类中英文词典类似,基本涵盖了全部常用中英文字词句的读音、释义及用法,是语言学习和写作的有利工具。

 

Copyright © 2004-2024 vtrois.com All Rights Reserved
更新时间:2026/4/19 22:04:06