贴现
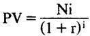
应用利息率推导资本数额的过程,被广泛用来求解与某种未来可取值相等价的现在值。 贴现中运用的利息率叫贴现率,它是将某一未来值转换为现在值时所打的一种折扣。贴现的一般公式为:  其中,PV为现在值,Ni为未来第i年的预期收益(或预期可取值),r为贴现率。 举例来说,如果利息率为10%,那么一年后可得的一笔110元收入的现在值为100元。显然,贴现与复利(Compound Interest)互为逆运算,复利是从一定数额现值推算与其等价的未来值的方法,其公式为 A(l+r)i=Bi 式中A为现值,r为利率,i代表年限,Bi为第i年后A的转换值(未来等价值)。 举例来说,将100元现金按利率10%存入银行,一年后此100元便转化为110元。 贴现方法被广泛地应用于评估其支出和收入将分布于若干年间的投资项目,它使得具有不同年限的各种投资项目之间的相互比较成为可能。因此,这一方法对于厂商的实际投资决策具有重要意义。 |