网站首页  词典首页


请输入您要查询的字词:

 

字词 质量守恒
类别 中英文字词句释义及详细解析
释义 质量守恒

物质质量在各种运动条件下(物理的和化学的)的不变性和相互转化的规律。

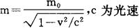
它同能量守恒一样也是物质运动的一条普遍规律。物质的质量包含惯性质量(也称引力质量)和运动质量两部分。在相对论创立之前,对物质的认识是把以牛顿力学运动定律和万有引力为根据的惯性质量作为物质运动惯性的量度。而在化学上认为物质质量是所含物质多少的量度。相对论创立以后,对物质质量作了深一层次的认识,首先发现物质质量跟运动速度有关,随著运动速度的增加而变大,增加的部分称运动质量,而把惯性质量称为静止质量,一个静止质量为m的物体以速度v运动,按相对论的要求,它的总质量m为

可见,当v接近光速C时,m迅速增加,远离光速时,近似等于静止质量(惯性质量)。这里揭示了物质和运动的不可分割性,运动质量的出现,也是相对论的效应之一。

质量守恒在化学反应中和在原子核反应中体现在各种物质之间的相互转变性质,由于物质质量是对物质的定量数值描述,那么这种转变在物理意义上总的数值是不变的。

相对论也发现质量同能量有共同的属性,二者可以互相转化,这主要体现在相对论的质能关系式上,物质运动动量为P,质量为m0(静止质量),则能量为

E2=C2P2+C4

揭示了质量和能量的同一属性。

因此质量守恒及转化定律,实际也是能量守恒及转化定律,越是在高速度运动,这种同一性越明显。

它揭示了质量是物质能量的一种储存形式。

当P=0,E=m02c2,而原子核反应中质量亏损即是质量转变为能量的能量守恒定律具体形式。

随便看

 

离鸟网收录3541549条中英文词条,其功能与新华字典、现代汉语词典、牛津高阶英汉词典等各类中英文词典类似,基本涵盖了全部常用中英文字词句的读音、释义及用法,是语言学习和写作的有利工具。

 

Copyright © 2004-2024 vtrois.com All Rights Reserved
更新时间:2026/4/21 13:46:55