网站首页  词典首页


请输入您要查询的字词:

 

字词 质量亏损
类别 中英文字词句释义及详细解析
释义 质量亏损

核反应过程或原子核衰变过程所减少的质量叫作质量亏损,如果核反应过程中质量亏损△m,则放出能量△E满足下列关系

△E=△m·c2

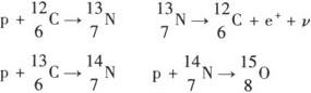
例 如下一系列核反应是在恒星内部发生的,

其中p为质子,α为α粒子,e+为正电子,v为一种中微子.已知质子的质量为ma=1.672648×10—27kg,α粒子的质量为mα=6.644929×10—27kg,正电子的质量为me=9.11×10—31kg,中微子的质量可忽略不计.真空中的光速c=3.00×108m/s.试计算该系列核反应完成后释放的能量.

分析 为求出系列反应后释放的能量,将题中所给的诸核反应方程左右两侧分别相加,消去两侧相同的项,系列反应最终等效为

4P→α+2e++2v

设反应后释放的能量为Q,根据质能关系和能量守恒得4mpc2=mαc2+2mec2+Q

∴Q=(4mp—mα—2me)c2=(4×1.672648×10—27—6.644929×10—27—2×9.11×10—31)×9×1016≈3.95×10—12J

答 3.95×10—12J.

随便看

 

离鸟网收录3541549条中英文词条,其功能与新华字典、现代汉语词典、牛津高阶英汉词典等各类中英文词典类似,基本涵盖了全部常用中英文字词句的读音、释义及用法,是语言学习和写作的有利工具。

 

Copyright © 2004-2024 vtrois.com All Rights Reserved
更新时间:2026/4/17 20:10:19