网站首页  词典首页


请输入您要查询的字词:

 

字词 财政支出增长的经验分析模型
类别 中英文字词句释义及详细解析
释义 财政支出增长的经验分析模型

【内容介绍】:

我们在“纯共用品的配置理论”辞条中以规范分析方法研究了财政支出最适规模决定或共用品最适配置的理论,在“财政支出的宏观经济模型”、“财政支出的微观经济模型”以及“财政支出的政治模型”等辞条以中实证分析方法讨论了财政支出增长趋势的原因,本文则从更接近实际的经验分析方法考察各国的财政支出增长状况。

本文的前一节回顾80年代以前学术界所作的经验分析,后三节分别介绍80年代以来的三种主要经验分析模型。

1.经验分析结果的回顾

50年代初,弗布里坎特(Fabricant,1952)对财政支出增长趋势所作的经验研究,推动了整个财政学界对这一领域的探讨。在他的经验研究中,利用三个相关的因素(人均收入、人口密度和城市化程度)解释了美国各州间人均财政支出水平的差异。而马丁和刘易斯(Martin and Lewis,1956,p.203-244)则试图建立一些标准,计划者依据这些标准比较和判断财政支出结构与水平的适当与否。

他们的观点与瓦格纳法则相反,认为如今花费在公共服务上的财政支出比一百年前相对要多得多的那些国家,不是因为这些国家更富有了,而是它们对国家的职责赋予了不同的概念。但是,60年代初威廉姆森(Williamson,1961,p.43-56)以横截面方法作了进一步研究,证明财政支出比率与人均收入正相关。

以后,人们的研究借助长时间序列数据集中于发达国家的财政支出增长,几乎都证实了政府活动扩张论。德国在1872年至1958年的情况几乎完全与瓦格纳法则相吻合(Andicand Veverka,1964,p.169-278),其显著特征是财政支出的集中化,与英国的情况类似(Peacock and Wiseman,1961)。

瑞典从1913年至1958年,公共部门的相对规模明显增大,,特别是中央政府的民用支出和转移性支出增长得更快(Hook,1962,p.289-312)。日本从1890年至1960年的财政支出占GNP比率也呈上升趋势(Emi,1963),学者们就美国(Gupta,1967,p.423-471;Musgrave,1969;Henning and Tussing,1974,p.325-341)、加拿大(Bird,1970)等国家的历史数据所作的研究表明,这些国家的财政支出增长趋势证实瓦格纳法则成立。

虽然学者们对发达国家财政支出的历史研究结果都一致认为公共部门规模扩张命题成立,但白克(Beck,1976,p.19)对13个发达国家的情况所作的研究结果显示,其中有8个国家的公共部门实际规模在1950年至1970年间实际上是下降的。但后来,他的进一步研究也发现,同公共消费性支出相比,转移性支出具有持续增长趋势(Beck,1979,p.315-355)。

从总体上对发展中国家的时间序列研究寥寥无几,但就现有的经验研究来看,结论也是财政支出占GNP比率呈上升趋势。有关印度的研究表明,财政支出的增长速度快于社会产出的增长速度。即使排除人口增长和价格变化等因素,也不会改变长期增长趋势,与瓦格纳法则相吻合(Reddy,1970,p.91)。对15个发展中国家的时间序列分析表明,随著时间的推移,财政支出特别是投资性支出的收入弹性增大(Enwenze,1973,p.446)。对一些发展中国家的横截面分析,结果也支持瓦格纳法则(Horrowitz,1965;Thom,1967,p.19-53)。

然而,有些横截面分析却得到了不同的结果。

古普塔(Gupta,1968,p.26-41)和马斯格雷夫(Musgrave,1969)在考察了经常性财政支出占GNP比率之后指出,如果把国家划分为高收入国和低收入国,财政支出比率与人均收入之间的正相关关系就不复存在了。普鲁塔(Pluta,1981,p.439-454)在分析了20个发展中国家的财政支出增长趋势之后发现,有13个国家的公共消费性支出同转移性支出相比,其比率下降,他认为其主要原因是生产率下降。

除了上述围绕著瓦格纳法则所作的一系列经验研究之外,有些学者针对皮库克和威斯曼(Peacock and Wiseman,1961)的置换效应假说也进行了经验分析。

当然,学术界对置换效应假说本身还存在著争议,争议的焦点在于财政支出的置换是源于常数的变化、斜率系数还是二者兼有。

古普塔(Gupta,1967,p.445)在分别检验了常数项和斜率系数之后指出,财政支出一旦上升至较高的水平,不管何种原因它都不会回落至原来的水平。这种“棘轮效应”之所以出现,是因为人们已经习惯于新的税收水平且转变了对财政支出的态度。

罗森费尔德(Rosenfeld,1973,p.302)却认为,社会动荡并不能作为财政支出长期增长趋势分析的依据,但他提出另一种置换效应,即某些财政支出的上升趋势导致财政总支出的上升。尽管对这种置换效应假说的经验分析结果存在著差异,但这有助于形成另一种命题,即特别是在发展中国家,税收导致财政支出膨胀。在发展中国家,或者由于外援不多,或者由于不发达的货币市场和资本市场,财政支出水平极大程度地依赖于税收制度(Heller,1967,p.10)。

在50年代后期,大岛(Oshima,1957,p.381-390)曾经提出一个简单的观点,即政府实际活动的主要约束不在于国家预算的支出面而是收入面,从此激发了人们对税制结构发展理论的研究。

希恩里克斯(Hinrichs,1965,p.546-556,1966)认为,随著一国的工业化,生产率提高和收入变化,财政支出比率会迅速提高;同时指出,在低收入国家,开放度比人均收入作为财政收入比率的指标更佳。马斯格雷夫(Musgrave,1969)对这一问题作了深入研究,并建立了税制结构发展的一般理论:如果税制结构用直接税与间接税比率表示,他设计的理想税制结构是一种“U”型结构,即在经济发展的早期阶段直接税比重下降,而在经济发展的后期阶段将上升。

除了上述这些经验研究之外,还有许多横截面研究和时间序列研究试图建立财政收入比率的随机回归模型,以计算税收努力和课税能力(Lewis,1963,p.39-45;Lotz and Morss,1967,p.478-499;Lotz and Morss,1970,p.328-341;Bahl,1971,p.570-612;Bahl,1972,p.87-124;Chelliah,1971,p.254-331;Mcleod,1973,p.427-437;Chelliah,Bassand Kelly,1975,p.187-205;Mann,1980,p.291-306)。课税能力与经济发展的许多指标相关,如人均收入、进口、出口、收入构成、货币化等等。

总的来看,这些研究结果表明,可利用的税基不仅是税收水平的主要决定因素,也是财政支出需求变化的决定因素。因此,这些研究认为在分析财政支出增长过程中,除了考察需求因素,还要详细分析供给因素。

特别是罗兹(Lotz,1970)和戴尔蒙德(Diamond,1977,p.37-59)试图澄清需求因素和供给因素在发展中国家财政支出增长过程中的影响程度。

罗兹(Lotz,1970,p.119-144)首先想找到影响经济发展的因素,认为财政支出趋势不仅与人均收入水平有关,而且还与其他经济因素和社会因素相关。

他的研究发现,在发展程度较高的国家,社会福利方面的支出尤其重要;同时,他认为税收收入是财政支出增长的主要约束因素。但是,并非所有形式的财政支出都同等地受到税收收入的影响。例如,他发现在很多发展中国家,经济服务性支出在很大程度上是由外援和非税收收入融资的,从而确立了税收收入与财政支出之间的因果关系。戴尔蒙德(Diamond,1977,p.37-59)的研究表明,发展中国家的财政支出比率受到供给因素的高度影响。换言之,对于比较贫穷的发展中国家来说,筹措资金的能力是财政支出水平的至关重要的决定因素。

上述这些经验研究在澄清影响财政支出增长的某些重要变量方面做出了很大贡献,但不同的研究对这些变量在不同的国家以及在同一国家的不同时期的影响程度得到的结论明显不同。大多数研究得到的普遍结论是:在财政支出的决定中,有些非经济因素诸如制度因素、结构因素、政治因素以及像战争和社会动荡等紧急情况,其作用举足轻重。正如普里耶(Pryor,1968,p.51)所言,在一些很不发达国家,非经济因素比人均收入是决定公共消费性支出的更为重要的因素。

与此同时,经济因素与非经济因素又交织在一起,使得这些因素与财政支出之间的关系更加错综复杂,为建立财政支出增长的一般理论设置了重重障碍。

2.需求面经验分析模型

布朗和杰克逊(Brown and Jackson,1990,p.149-152)概括了以前的经验模型,建立了预算过程和假设检验模型,并假定地方政府的行为就如同在其预算约束下使其偏好最大化的中位选民一样。按照这种方法,建立了一系列公共服务的需求方程式,并估计了公共服务的需求。

假定中位选民的偏好函数形式如下:

P=P(G,Y) (1)

式中,G代表公共服务向量,Y代表税后收入。

公共部门的生产函数如下:

Xk=Xk(Lk,Mk) (2)

Gk=Gk(Xk,N) (3)

式中各符号的经济含义是:

Xk——第k种公共设施,是一种用于生产第k种公共服务Gk的中间品

Lk——劳动投入

Mk——其他物质投入

N——消费群体的规模

生产公共服务Gk的总成本函数是:

Gk=ck(wk,sk)Xk(Lk,Mk) (4)

式中,wk代表工资率,sk代表物质资源的价格,它们都是外生决定的。平均成本函数是:

Ck/Xk=ck(wk,sk) (5)

预算约束式是:

T+Z+mkΣkckXkkckXk (6)

也就是说,

T+Z=Σk(1-mk)ckXk

式中,T代表税收收入,Z代表(中央政府对地方政府的)一次性总额补助,mk代表有条件补助的配套资金比率。

上述这些方程式都是从地方政府角度来构建的,当然也可以个人角度来建立。

首先,人均公共服务的利益由下式给定:

Gk=Xk/N (7)

税后收入Y的决定式是:

Y=I-tbπ (8)

式中各符号的经济含义是:

I——毛收入

t——有效税率

b——税基

π——因税收抵免等而调整应纳税额的因子

假定

t=T/BN

式中,B代表每人的总税基。根据上述情况,可以推导出个人的预算约束式:

I+τZ=Σkτck(1-mk)Gk+Y (9)

式中,τ代表个人的净人均税额比率(b/B)π,τ代表一次性人均补助(Z/N)。

于是,(1)式给定的个人偏好函数P得到最大化,满足预算约束式(9)。

公共服务需求函数如下:

Gk=Gk(pk;τz+I) (10)

式中,

pk=τck(1-mk)

亦即,pk是公共服务Gk的税收价格。

上述经验模型只是对普遍采用的方法的一般性说明,不同的作者在进行经验研究时会有所改变,但从过去的大多数经验研究结果来看,表现出以下三方面的共性:第一,所有公共服务都是价格无弹性的;第二,收入弹性一般小于1,大于1的公共服务主要有公园和娱乐设施、住房和城区重建以及福利;第三,中央政府对地方政府的补助缺乏弹性。

3.简单回归模型

我们首先依据瓦格纳法则建立一个简单的回归方程,即以人均收入回归财政支出-GDP比率变量,其基本方程式是:

G/GDP=a+byp (11)

式中各符号的经济含义是:

G——实际财政支出

GDP——实际国内生产总值

yp——名义人均收入

为了直接得到财政支出的收入弹性,以线性对数形式重新改写该模型:

log(G/GDP)=a+b(log yp) b>0 (12)

财政支出的收入弹性(b)是指人均收入变化1%引起财政支出比率变化的百分比。

为了把收入效应和价格效应都考虑在内,上述方程式要区分为两个方程:

log(G/GDP)=a+b(log yp)

b>0 (12′)

log(G/GDP)=(a+b)(log ypr)

b>0或b<0 (12″)

G和GDP的平减指数相同,故该比率无论是对实际变量还是名义变量都相同,但人均收入则分为现行价格的收入(yp)和不变价格的收入(ypr)。上述模型揭示出不包括像人口增长和价格等长期影响的财政支出趋势。

然而,这些模型只能反映出随著时间的推移,人均收入增加对财政支出需求增加,没有考虑供给因素对财政支出增长的影响。

故此,有必要把需求因素和供给因素同时考虑在财政支出函数中。同时,我们按预算分类和经济分类,把财政支出分别区分为经常性支出(GRE)和发展性支出(GDE)、公共消费性支出(GC)和公共投资性支出(GI)。

按照预算分类,财政支出函数可以写成:

G=GRE+GDE (13)

按照经济分类,财政支出函数为:

G=GC+GI (13′)

式中各符号的经济含义是:

G——财政支出

GRE——经常性支出

GDE——发展性支出

GC——公共消费性支出

GI——公共投资性支出

所有这些变量都是实际值。鉴于经常性支出是一种反复出现的支出,它不仅主要用于政治稳定和社会安定方面的支出,而且在新项目和工程完工之后的维护和配套型支出也属于非发展性支出。因此,经常性支出是上一年度经常性支出和发展性支出滞后影响的函数,这两个因素与财政收入一道决定经常性支出。

这样,经常性支出函数可以写成:

式中各符号的经济含义是:

(GDE)-1——滞后发展性支出

(GRE)-1——上一年度的经常性支出

TR——总收入

(GI)-1——滞后公共投资性支出

(GC)-1——上一年度的公共消费性支出

当然,上述四类财政支出的划分并非很严格。

也就是说,在经常性支出中有些具有资本形成性质的项目,同样,在发展性支出中也可能包括了一些具有反复支出性质的项目。此外,发展性支出可能受到经济计划规定的目标国民收入的影响,如五年计划确定了经济增长率,要实现这个经济增长率,就要相应地计划财政支出。

所以,把目标国民收入作为发展性支出或投资性支出的一个主要决定因素有一定道理。

在发展中国家,除了外援、国内贷款和现金余额之外,发展性支出还受到国内可利用资源的影响,因为一部分发展性支出要由经常性支出所产生的收入剩余来弥补。因此,在财政支出函数中有必要把这些供给因素考虑在内,许多学者一直把外援看作是一个解释变量(Griffin and Enos,1970,p.317-327;Weisskopf,1972,p.25-38;Heller,1975,p.429-445;Pillai,1982,p.5-18)。这样,发展性支出函数可以写成:

GDE=c+c1(Y-Y*)+c2TR+c3FA

c1>0,c2>0,c3>0 (16)

(Y-Y*)代表目标国内生产总值与实际国民生产总值之间的差额,FA代表外援。

我们可以假定在长期,发展性支出增长得更快,故c1可能接近于1,c2可能大于零但小于1,因为大部分收入将用于经常性支出。至于c3,如果外援用于消费目的,则它就小于1,否则就接近于1。

如果考虑到发展性支出或投资性支出的滞后效应,那么,(16)式就可写成:

GDE=d+d1(Y-Y*)+d2TR+d3FA

+d4(GDE)1

d1>0,d2>0,d3>0,0<d4<1 (17)

或者,

GI=e+e1(Y-Y*)+e2TR+e3FA

+e4(GI)-1

e1>0,e2>0,e3>0,0<e4<1 (17′)

上述回归模型主要包括目标收入、经常性收入以及外援等变量,既考虑了需求因素,也考虑了供给因素,是一个比较完整的回归方程组。

4.格兰格因果关系检验模型

以前的经验研究以及上述两种经验分析模型都是从国民生产总值(或国内生产总值)增长或人均收入增加促使财政支出比率不断提高这种单向因果关系来研究瓦格纳法则,可是,宏观经济理论特别是凯恩斯学派的宏观经济理论认为,财政支出也会加速经济增长。的确,某些类型的财政支出无疑会提高GDP,至少在经济发展的初期阶段是如此,故财政支出被看作是改变总产出的一个外生力量。这样就出现了一个问题:是GDP提高导致财政支出扩张还是财政支出增加加速了GDP增长?自20世纪90年代以来,学术界根据格兰格因果关系概念,利用单位根检验法和共积检验法(unit roots tests and cointegration tests)研究了经济增长与财政支出的长期关系。

根据格兰格(Granger,1969,p.424-438)的因果关系概念,如果变量Y能够根据Y和X的过去值而不是仅根据Y的过去值更准确地预测出来,那么,变量Y就是由X引起的。这种因果关系可以分为四种类型:(1)从X到Y的单向因果关系,(2)从Y到X的单向因果关系,(3)反馈或双向因果关系,(4)没有因果关系。

就简单的二变量模型而言,可以利用X和Y的现在值和过去值,估计Y和X的回归值来检验因果关系类型。

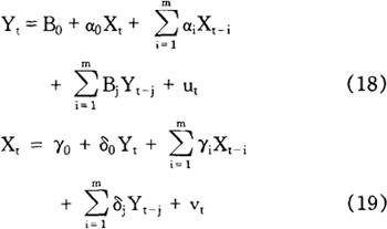
利用下列模型,就可以检验两个变量间的因果关系:

式中,αi和Bj是描述Xt和Yt的m个现在和过去值对Yt影响的系数,而γi和δj是描述Xt和Yt的m个现在和过去值对Xt影响的系数,ut和vt是互不相关白噪声级数(mutually uncorrelated shite noise series)。

对于所有i和j,X和Y关系的存在通过方程式(1)中的αi=0和方程式(2)中的δi=0这种原假设(null hypotheses)来检验。这种检验程序能够确定X和Y之间的关系存在及其方向。

如果αi=0和δj=0(对于所有i和j),那么,不存在因果关系,而且每一变量的现在值只受其过去值的影响。如果某些αi≠0,那么,Y是由X引起的;而如果δj≠0,则X是由Y引起的。如果对于某些i和j,αi≠0和δj≠0,那么,存在著双向因果关系,且这两个变量与其他变量的现在和(或)过去的影响有关。

最近,许多经济学家(Ram,1992,p. 496-504;Henrekson,1993,p.406-415;Murthy,1993,p.92-96;Murthy,1994,p.295-303;Lin,1995,p.267-277;Anwar,Davies and Sampath.1996,p.166-184;Bohl,1996,p.185-200;Wan,1996,p.71-91;Payne and Ewing,1996,p.258-274)根据上述格兰格因果关系概念,对瓦格纳法则进行了经验分析,得出三种结论:有些经验分析结果表明瓦格纳法则成立,有些经验分析结果表明瓦格纳法则不成立,而有些经验分析结果则得到混合结论。

例如,安瓦等人(Anwar,Davies and Sampath.1996,p.166-184)利用单位根和共积方法研究了88个国家1960年至1992年间经济增长与财政支出之间的因果关系,发现在23个国家存在著单向因果关系,在8个国家存在著双向因果关系;在13个国家,经济增长引起财政支出增长这一命题得到证实;他们的最终结论是:在绝大多数国家,没有发现在GDP与财政支出之间存在著因果关系。又如,培尼和爱文格(Payne and Ewing,1996,p.258-274)随机选择了22个不同发展水平的国家,利用误差校正模型(errorcorrection models),研究实际财政支出比率与实际人均GDP之间的格兰格因果关系。

他们的结论是:在澳大利亚、哥伦比亚、德国、马来西亚、巴基斯坦和菲律宾发现了支持瓦格纳法则的证据;在其余16个国家中,只有加拿大表现出从实际财政支出比率到实际人均GDP的单向因果关系;双向因果关系存在于印度、秘鲁、瑞典、瑞士、英国、美国和委内瑞拉,而在智利、芬兰、希腊、洪都拉斯、意大利和日本等6个国家根本不存在格兰格因果关系。。【参考文献】:

纯共用品的配置理论(Theory of Pure Public Goods Allocation)

官僚与配置无效率(Bureaucrats and Allocative Ineffieiency)

估价和评判政府决策的一个理论原则:最大社会收益原则(Theoretical Principles for Evaluating and Judging Government Decisions:The Principle of Maximum Social Gain)

财政支出增长的宏观经济模型(Macroeconomic Models of Public Expenditure Growth)

财政支出增长的微观经济模型(Microeconomic Models of Public Expenditure Growth)

财政支出增长的政治模型(Political Models of Public Expenditure Growth)

Andic, S. and J. Veverka, 1964, The Growth of Government Expenditures in Germany Since Unifications, Finanzarchiv, N.F.Band 23.

Anwar, M. S., S. Davies and R. K. Sampath. 1996, Causality Between Government Expenditures and Economic Growth: An Examination Using Cointegration Techniques, Public Finance 51.

Bahl, R. W,, 1971, A Regression Approach to Tax Effort and Tax Ratio Analysis, IMF Staff Papers, Ⅹ Ⅻ (3).

Bahl, R. W., 1972, A Representative Tax System Approach to Measuring Tax Effort in Developing Countries, IMF Staff Papers, Ⅺ Ⅹ (1).

Beck, M., 1976, The Expanding Public Sector: Some Countrary Evidence, National Tax Journal, Ⅹ Ⅺ Ⅹ (1).

Beck, M., 1979, Public Sector Growth: A Real Perspective, Public Finance,Ⅹ Ⅹ Ⅺ Ⅴ(3).

Bird, R. M., 1970, The Growth of Government Spending in Canada, Canadian Tax Foundation.

Bohl, M. T., 1996, Some International Evidence on Wagner's Law, Public Finance 51.

Brown, C. V. and P. M. Jackson, 1990, Public Sector Economics, Basil Blackwell Ltd.

Chelliah, R. J., 1971, Trends in Taxation in Developing Countries, IMF Staff Papers, Ⅹ Ⅻ (2).

Chelliah, R. J., H. J. Bass, and M. R. Kelly, 1975, Tax Ratios and Tax Effort in Developing Countries, 1969-71, IMF Staff Papers, Ⅹ Ⅻ (1).

Diamond, J., 1977, Wagner's Law and the Developing Countries,Developing Economics, Ⅹ Ⅴ (1).

Emi, K., 1963, Government Fiscal Activity and Economic Growth in Japan: 1888-1960, Kinokuniya Book Store Co.Ltd.

Enwenze, C., 1973, Structure of Public Expenditure in Selected Developing Countries: A Time Series Study, Manchester School of Economics and Social Studies, Ⅹ Ⅹ Ⅹ Ⅺ (4).

Fabricant, S., 1952, The Trend of Government Activity in the United States Since 1900, National Bureau of Economic Research.

Granger, C. W. J., 1969, Investigating Causal Relationship by Econometric Models and Cross-Spectral Methods 37.

Griffin, K. B. and J. L. Enos, 1970, Foreign Assistance: Objective and Consequences, Economic Development and Cultural Change, Ⅹ Ⅹ Ⅹ Ⅲ (3).

Gupta, S. P., 1967, Public Expenditure and Economic Growth: A Time Series Analysis, Public Finance, Ⅹ Ⅻ (4).

Gupta, S. P., 1968, Public Expenditure and Economic Developmen和: A Gross-Section Analysis, Finanzarchiv, N.F. Band 27.

Heller, W. W., 1967, Fiscal Policies for Underdeveloped Countries, in R. M. Bird and O. Oldman, eds., Reading in Taxation in Developing Countries, The John Hopkins Press.

Heller, P. S., 1975, A Model of Public Finance Behaviour in Developing Countries: Aid, Investment and Taxation, American Economic Review, Ⅹ Ⅴ(3).

Henning, J. A. and A. D. Tussing, 1974, Income Elasticities of the Demand for Public Expenditures in the United States, Public Finance, Ⅹ Ⅹ Ⅸ (3-4).

Henrekson, M., 1993, Wagner' s Law: A Spurious Relationship? Public Finance 48.

Hinrichs, H. H., 1965, Determinants of Government Revenue Shares Among Less Developed Countries, Economi Journal 75.

Hinrichs, H. H., 1966, Tax Structure Change During Economic Development,Yale University Press.

Hook, E., 1962, The Expansion of Public Sector: A Study of the Development of Public Civilian Expenditures in Sweden During the Years 1912-1958, Public Finance, Ⅹ Ⅶ (4).

Horrowitz, D., 1965, Government Expenditure in Countries of Accelerated Growth, in A. T. Peacock and G. Hauser, eds. , Government Finance and Economic Development, OECD.

Lewis, W. A. , 1963, Government Revenue From Foreign Trade: An International Comparison, Manchester School of Economic and Social Studies, Ⅹ Ⅹ Ⅺ (1).

Lin, C., 1995, More Evidence on Wagner' s Law for Mexico, Public Finance 50.

Lotz, J. R., 1970, Patterns of Government Spending in Developing Countries, Manchester School of Economic and Social Studies, ⅩⅩⅩⅧ (2).

Lotz, J.R. and E.R.Morss, 1967, Measuring "Tax Effort" in Developing Countries,IMF Staff Papers, ⅪⅤ (2).

Lotz J.R. and E.R.Morss, 1970, A Theory of Tax Level Determinants for Developing Countries, Economic Development and Cultural Change 18.

Mann, A.J.,1980,Economic Development and Tax Structure Change: Mexico,Public Finance Quarterly 8.

Martin,A.M. and W.A.Lewis,1956, Pattern of Public Revenue and Expenditure,Manchester School of Economic and Social Studies, ⅩⅩⅣ(3).

Mcleod,D.,1973,Determinants of Jamaican Government Revenue Shares, Journal of Development Studies 9.

Murthy, N.R.V., 1993, Further Evidence of Wagner's Law for Mexico: An Application of Cointegration Analysis, Public Finance 48.

Murthy, N. R. V. , 1994, Wagner's Law, Spurious in Mexico or Misspecification: A Reply, Public Finance 49.

Musgrave, R.A., 1969, Fiscal Systems, Yale University Press.

Oshima,H.T.,1957,Share of Government in GNP for Various Countries,American Economic Review, Ⅹ LⅦ (3).

Payne, J.E.and B.T.Ewing,1996,International Evidence on Wagner' s Hypothesis:A Cointegration Analysis, Public Finance 51.

Peacock, A. T. and J.Wiseman, 1961, The Growth of Public Expenditure in the United Kingdom, Princeton University Press.

Pillai,V.,1982,External Economic Dependence and Fiscal Policy Imbances in Developing Countries: A Case Study of Jordan, Journal of Development Studies 19.

Pluta, J.E., 1981, Real Public Sector Growth and Decline in Developing Countries, Public Finance, XXXⅥ (3).

Pryor, F.L., 1968, Public Expenditures in Communist and Capitalist Nations, George Allen & Unwin Ltd. .

Ram,R.,1992,Use of Box-Cox Models for Tesing Wagner's Hypothesis, A Critical Note, Public Finance 47.

Reddy, K.N., 1970, Growth of Government Expenditure and National Income in India, 1872-1966, Public Finance, ⅩⅩⅤ (1).

Rosenfeld, B. D.,1973,The Displacement Effects in the Growth of Canadian Government Expenditures, Public Finance, ⅩⅩⅧ (3-4).

Thorn, R.S.,1967, The Evolution of Public Finance During Economic Development, Manchester School of Economic and Social Studies, ⅩⅩⅩⅤ(1).

Wan,K.P.,1996,Wagner' s Law vs.Keynesian Paradigm:The Korean Experience,Public Finance 51.

Weisskopf, T.E., 1972, The Impact of Foreign Capital Inflow onDomesticSavingsinUnderdevelopment Countries, Journal of International Economics 2.

Williamson, J. G., 1961, Public Expenditure and Revenue: An International Comparison, Manchester School of Economic and Social Studies, ⅩⅪⅩ (1).

随便看

 

离鸟网收录3541549条中英文词条,其功能与新华字典、现代汉语词典、牛津高阶英汉词典等各类中英文词典类似,基本涵盖了全部常用中英文字词句的读音、释义及用法,是语言学习和写作的有利工具。

 

Copyright © 2004-2024 vtrois.com All Rights Reserved
更新时间:2026/4/18 11:09:56