网站首页  词典首页


请输入您要查询的字词:

 

字词 财务分析的方法
类别 中英文字词句释义及详细解析
释义 财务分析的方法

财务分析常用的方法主要有以下几种:

1.对比法

它是以两个或两期的经济指标进行简单对比的一种方法,从对比各种现象开始,来分析被比较的对象。其作用就在于对各项经济指标进行初步的一般评价,揭露各项计划(或基期)指标在实际执行中所发生的差异,并给进一步分析提供明确的方向。应用比较法查明的相同指标间的正负差异数值,就是进一步确定分析问题的目标。

2.因素分析法

它是一种分析因素影响的方法。通过比较法找出各指标间的差异后,就需要根据情况进一步研究出现差异的原因及影响的因素,有时我们可以从差异中直接地查出原因,但经济活动的影响因素往往是错综复杂的,可能要受到几个因素的共同影响。我们要查明都有哪些因素在影响,影响的程度、影响的方向,就需要根据影响指标各因素之间的有机联系,用因素分析法来分析。所谓因素分析法是通过指标分解,根据分解后的具体因素测定相互联系的各个因素对综合指标的影响程度的一种分析方法。它主要包括两类具体分析方法:一类是因素替代法,主要有连环替代法和它的简化形式差额计算法;另一类是因素分摊法。

3.比率分析法

比率分析法是财务分析广泛采用的一种基本技术方法,它是以两个指标间的百分比来揭示它们之间相互关系的一种方法。这种方法用于具有可比性的两个指标之比,也运用于具有相关关系的两个指标之比。

4.预测分析法

经济活动预测是对经济现象的未来作出的科学预见,通过预测就可以研究怎样尽量减少因素的不肯定性,并对经济现象的未来可以做出量的判断。因此,经济活动的预测实际上就是对企业经济活动的事前分析和推算。

现代化企业的经营,以经济效益为中心,其规模大,效率高,而且组织严、分工细,为了运用这些特点,不仅仅要对当前的经济活动进行科学分析,以充分利用人力、物力、财力,提高经济效益;而且还必须对企业的未来发展变化要有充分的预见,只有把经济管理放在科学预见的基础上,企业才能适应变化多端,错综复杂的经济现象,才能在激烈的竞争中扬长避短,趋利避害。另一方面,预测是人们认识和掌握经济规律所借助的一种工具,通过它就可以为编制计划奠定可靠的基础,可以为决策者提供最佳方案以及为加强管理检查计划等提供科学的依据和必要的资料。

预测技术方法很多。一般而言,对经济运动的未来作出量的判断主要有两个途径。一种是调查分析法(经验分析法)即通过调查研究,在掌握第一手资料情况下进行经验分析,以判断未来。另一种途径是运用数学方法预测。在方法上还可以归为两大类。其一是时间序列预测法,即通过历史时期的资料,从中找出规律性的变化推断出未来。其二是因果分析预测法,即根据经济现象内在的联系,确定其因果关系,从原因的变化中来推断未来的结果。以上预测方法很多,有关涉及的方法,待具体分析时再加说明。但必须强调在实际工作中,要根据不同企业、在不同时期以及不同分析对象的要求,通常将各种预测方法结合使用,这样实质上是提高了预测的可靠性。

5.分类(分组)分析法

分类或分组,是研究任何一种社会经济现象都不可缺少的手段。分类(分组)分析是按一定的标准将研究对象分成若干不同的组成部分,将性质相同的现象归纳在一起,说明分析总体内部的结构变动和总体中各指标间的关系,并按局部在全部中所占的比重,来选择分析和管理的重点的一种分析方法。

6.盈亏分析法

这种分析方法是从分析成本、利润和销售量的相互关系中,掌握盈亏变化的规律,利用这一关系来分析,评价和选择最能减少亏损增加盈利的方案。

企业经营的所有决策几乎都与销售和利润有关系,而经营中的许多重大问题都可以通过盈亏分析得到回答。例如企业应否购置新的经营设备、购销哪些商品,企业经营状况,如,销售量多大才能盈利,受资金等因素的影响在几种商品不能同时进销的情况下,进销哪种商品更为有利等等。

(1)销售量、成本、利润的关系

剔除其它因素,商品的销售量,成本和利润之间应存在如下之关系。

利润=销售收入-销售成本

其中:商品销售收入=销售量×售价

销售成本=变动费用+固定费用

这里的销售成本是从成本的性态角度一分为二的。是变动费用(成本)与固定费用(成本)之和。所谓变动费用(成本)是指成本总额随商品销量变动而等比变动的成本。所谓固定费用(成本)是指成本总额不随商品销量变动,在短期内相对稳定的成本。如有些成本费用与销量的关系不甚明显。即为半变动费用量、本、利的关系可以图示如下页图。

以上图形,由于受销售量所影响,L1、L2两条成本线的变化决定了L1总成本线的变化趋势,同时受价格的影响,S销售收入线被确定下来。在变化趋势中,L与S总有那么一个时刻,即当商品的销售量达到X0多的时刻,L与S必交于N点。它表示销售收入与销售成本相等,利润为零,故称N点为盈亏平衡点。图中由S线和L线围成的区域有两部分,左边为亏损区域,右边为盈利区域。

(2)盈亏平衡点的确定

通过上述分析,销售收入线与销售总成本线的交点为盈亏平衡点(即N点)。在这一点上,当企业销售X0件商品时,企业既不亏损,也无盈利。当销售量大于X0时,企业将有盈利,当销售量小于X0时点,企业将发生亏损。由此,可以建立计算盈亏平衡点的数学公式为:

公式❶ 

其中:X0——盈亏点的销售量

F——固定费用

W——单位售价

CV——单位可变费用

推导过程如下:

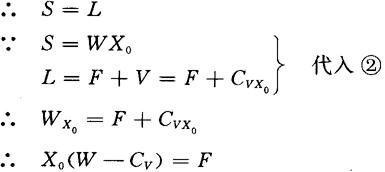
设:S为销售收入,L为总成本,P代表利润,

则:P=S-L (1)(量本利关系式)

∵ 盈亏点的利润为P=O)(代入上式)

例:某企业销售某种商品,售价为150元/台,销售量为300台/时,固定费用为4000元,变动费用为30000元,求X0=?

已知:F=4000元,W=150元/台,

代入公式得:

即:当销售量为800台/时,企业保本。

进行盈亏分析,首先要确定盈亏平衡点,然后再根据已知的销售量确定相应的盈利额;根据已知的目标利润确定相应的销售量。

(3)已知W、CV、F和实际销售量X,盈利额的确定方法:

设:盈利额为P

∵ P=Wx-(V+F)

∴ P=Wx-(V+F)

P=Wx-(CVX+F)

P=Wx-CVX-F

得:P=(W-CV)X-F 公式❷ 

还如上例:假设销售量为250台/时,盈利额是多少?

∵ F=4000元,W=150元/台,CV=100元/台

X=250台

则:P=(W-CV)X-F

∴P=(150-100)×250-4000=8,500(元)

即:企业销售250台/时,可得盈利8500元。

(4)已知W、CV、F和目标利润P的情况下,商品销售量的确定方法:

设:商品销售量为X

∵ P=Wx-(V+F)

∴ P=Wx-(CVX+F)

P=Wx-CVX-F

P=(W-CV)x—F

(W-CV)x=P+F

还如上例:设目标利润P为10000元

确定企业应销售该商品多少台?

由已知可得:F=4000元,W=150元/台,Cv=100元/台,P=10000元

即:当企业销售280台该商品时,才能达到目标利润。

以上是盈亏分析的基本原理,这种方法必须在几个因素确定的前提下才能求得另一个因素,即,

(a)已知F、CV、W的情况下确定X,

(b)已知F、CV、W和预期的X情况下,确定P(盈利水平);

(c)已知F、W、CV和目标利润P的情况下,测算出X。

7.平衡分析法

平衡分析法是利用经济活动中具有相互平衡关系的一些经济指标进行分析来了解企业经济活动状况的一种方法。

运用平衡分析法,对各项经济活动中的有关指标进行平衡关系的分析,便于及时发现不平衡状况、采取措施,组织新的平衡,以保证企业经营活动的顺利进行和持续稳定地发展。

随便看

 

离鸟网收录3541549条中英文词条,其功能与新华字典、现代汉语词典、牛津高阶英汉词典等各类中英文词典类似,基本涵盖了全部常用中英文字词句的读音、释义及用法,是语言学习和写作的有利工具。

 

Copyright © 2004-2024 vtrois.com All Rights Reserved
更新时间:2026/4/20 21:56:56