网站首页  词典首页


请输入您要查询的字词:

 

字词 财产保险费率的厘定原则及构成
类别 中英文字词句释义及详细解析
释义 财产保险费率的厘定原则及构成

(一)财产保险费率的厘定原则

1.保证赔偿原则。保险费是赔偿保险标的损失的基本来源,因此,保险费率的厘定要保证保险人具有相应的赔偿能力,并具有一定的安全系数。保险费率厘定过高,影响保户投保的积极性;厘定过低,入不敷出,保险人无法正常经营。同时,安全系数用于应付重大风险损失或者为了弥补统计误差也应给予考虑。

2.公平合理原则。公平是指保险人按保险标的风险大小科学地确定保险费率。风险越大,费率越高;风险越小,费率越低。但保险费率的厘定并不是逐个按保险标的确定的,而是根据平均损失率厘定,这种公平只是相对公平。合理是指保险费率的分类要合理,纯保险费率与附加费率要合理,业务管理费用与保险人的盈利诸因素在附加保险费率中的比例要合理。

3.费率相对稳定原则。财产保险费率一经确定,在一定时期内应保持相对稳定,变动频繁会给保户计算应缴保费带来困难,也不利于保险人的财务管理。

(二)财产保险费率的构成

财产保险费率由保险成本、保险平均利润和保险税三部分组成:

1.保险成本。保险成本包括保险赔付和支付的各项业务经营费用,是根据历年保险金额损失率计算的一个平均值,并用这个平均值来测算保险成本,通常用百元保险金额成本率来表示,简称保险成本率。保险成本率包括纯保险费率和附加费率,两者占保险成本的比率,分别称为损失比率和费用比率,其构成可表述为:

保险单位平均损失额为损失频率与损失额度的乘积,即:

式中,理赔次数应以实际构成理赔条件的损失次数为准,损失总额包括赔偿金额与实际发生的理赔费用,保险单位是计算费率时所假定的一种尺度,因风险性质不同,保险单位的定义也不尽一致,如火灾保险以保险期间每千元保额为一个保险单位;汽车保险以一年保险期间、一辆汽车为一个保险单位。

纯保险费率简称为纯费率。财产保险的纯费率,与各年度损失频率及损失额度有关。纯费率作为纯支付赔付部分的费率,要依据一定时期内保险赔款总额与总保险金额的比率来确定。纯费率由保险金额平均损失率和安全系数组成,保险金额平均损失率必须根据过去若干年的统计资料加以计算,即:

式中,各年度保险金额损失率是各年度保险赔偿额与各年度保险金额的比率。如某项保险业务保险金额总计3亿元,保险期间共支付赔款60万元,则该业务的保额损失率为2‰(60万元÷3亿元)。也就是说,发生的保险事故中每1000元保险财产要损失2元,如果我们把纯费率定为2‰,那么收取的纯保险费为:

3亿元×2‰=60(万元)

这样收取的纯保险费恰好用以支付赔款,根据大数法则,如果上述数据是从长期大量的统计资料中得出的,这样的保额损失率将接近于损失概率,我们可以用它来确定该项业务的纯保险费率。从数理上说,保额损失率(纯费率)应等于损失概率,纯保险费应与赔款预期相等。

纯费率以损失概率为基础厘定,理论上是根据各类保险发生的灾害事故的频率c/a(承保数量的出现次数)、损毁率d/c(每次出险受灾数量)、损毁程度f/c(每一受灾财产保险金额所支付的赔偿金额)和风险比例(受灾财产与保险财产两者的平均保险金额之比)四项因素计算出来的,对以上四个因素相乘得到:

式中:a——承保数量;

b——保险金额;

c——出险次数;

d——受灾数量;

e——受灾财产的保险金额;

f——赔偿金额。

保额损失率也就是损失概率,由于各种灾害事故的出险频率和各种物质的损毁程度均有所不同,上述四项因素的变动都将引起损失概率的变动,用上式分析各项因素对损失概率的影响,作为业务分析的基础,可用以提高经营管理水平。财产保险纯费率不能完全依据以往的平均保额损失率来确定,平均保额损失率是以往各年份保额损失率的平均值,必然有些年份的保额损失率比它高,有些年份的保额损失率比它低。若以平均保额损失率作为纯费率,一般来说每两年就有一年的赔偿金额超过当年的纯保险费。为了保证财产保险财务上的稳定性,必须考虑安全系数。确定安全系数的方法有两种,一是均方差法,即采用在平均保额损失率的基础上另加一次、二次或三次均方差数值作为危险附加来厘定费率;二是经验法,即根据经验估计,在实际工作中进行系数附加。

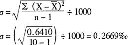
(1)均方差法:假定根据过去10年的统计资料,每年的保额损失率分别为1.4‰、1.8‰、2.1‰、2.3‰、1.9‰、1.7‰、2.0‰、2.1‰、1.8‰、1.6‰,其算述平均数X为1.87‰,列表如表7-1-1。

表7-1-1 某公司过去年份保额损失率

由总体均方差公式:

由于该公司过去平均保额损失率为1.87‰,总体均方差为0.2669‰,我们可以计算危险附加的纯费率,如表7-1-2所示:

表7-1-2 公司财产保险危险附加的纯费率

从表7-1-2中,我们可以看出,以一次均方差的危险附加来计算,纯费率为2.1369‰,危险附加占平均损失率的0.1477,这样为数不高的附加是正常的。为了减轻被保险人的保费负担,我们一般采用最低限度的危险附加。

(2)经验法:在实际业务工作中,如果计算的离散系数不是太大,我们根据统计资料的齐全程度与均匀程度,一般可根据经验估计,在平均保额损失率的基础上,加上一个10%~20%的安全系数,即:

财产保险纯费率=保险金额平均损失率×(1+安全系数)

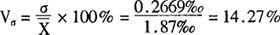
上例中,由于平均保额损失率X为1.87‰,总体均方差σ为0.2669‰,我们计算离散系数为:

计算的离散系数Vσ不是太大,确定财产保险纯费率,可依据“财产保险纯费率”公式计算。

财产保险附加费率,主要用于各种业务开支,包括工资及附加费、业务费、企业管理费、代理手续费及其他支出等,附加费率可采用以下两个公式计算:

实际工作中,为了计算简便,常在纯费率的基础上附加适当的百分比作为附加费率,这样,包括纯费率和附加费率在内的保险成本率计算公式为:

保险成本率=保险纯费率×(1+附加费率)

2.保险平均利润。财产保险中,保险公司不仅要支付财产赔偿,还要建立适当的保险基金,用于补救因预先估计保费不足而造成的差额,此外,为了保险企业的生存和发展,还必须留置一部分企业发展基金、职工奖励基金及职工福利基金等。因此,保险公司除了要核算保险成本以外,还应从物质生产部门创造的剩余劳动中合理取得社会平均利润,除了作为专用基金以外,还要作为向国家缴付所得税的主要来源。保险平均利润,一般按下式计算:

保险平均利润=保险预付资本金×社会平均利润率

在财产保险费率厘定中,采用保险成本利润率计算:

3.保险税。保险公司向国家纳税,是其应尽的义务,保险费中的税金因素,是指保险企业向国家缴纳的营业税,包含在保险价格之内,其营业税率由国家确定。

综上所述,财产保险总费率的计算公式为:

随便看

 

离鸟网收录3541549条中英文词条,其功能与新华字典、现代汉语词典、牛津高阶英汉词典等各类中英文词典类似,基本涵盖了全部常用中英文字词句的读音、释义及用法,是语言学习和写作的有利工具。

 

Copyright © 2004-2024 vtrois.com All Rights Reserved
更新时间:2026/4/19 8:53:50