网站首页  词典首页


请输入您要查询的字词:

 

字词 负载△连接的三相电路
类别 中英文字词句释义及详细解析
释义 负载△连接的三相电路

图8.1-27所示是负载△连接的三相电路。

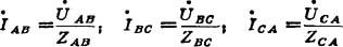
由图可见,负载相电压与电源的线电压相等,因此负载的相电压总是对称的。三相负载的相电流分别为

负载的线电流可应用KCL得到,即

A=ABCAB=BCABC=CABC

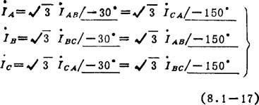
当负载对称时,由于负载电压总是对称的,故各相负载的相电流对称,线电流也对称。即

上式表明,负载对称△连接时,线电流的相位比对应的两个相电流滞后30°和150°,其电流间的大小关系是IL=IP

随便看

 

离鸟网收录3541549条中英文词条,其功能与新华字典、现代汉语词典、牛津高阶英汉词典等各类中英文词典类似,基本涵盖了全部常用中英文字词句的读音、释义及用法,是语言学习和写作的有利工具。

 

Copyright © 2004-2024 vtrois.com All Rights Reserved
更新时间:2026/4/18 14:32:34