网站首页  词典首页


请输入您要查询的字词:

 

字词 负载Y连接的三相电路
类别 中英文字词句释义及详细解析
释义 负载Y连接的三相电路

图8.1-25所示是负载Y连接的三相四线制电路,每相负载中的电流称为相电流IP,每根火线中的电流称为线电流IL。负载Y连接时相电流等于线电流,即

P=L

每相负载中的电流为

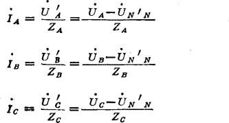
图8.1-26所示为三相三线制电路。若三相负载不对称,则各相负载中的电流分别为

式中负载中性点N和电源中性点N间的电压为

图b)是三相负载不对称时电压和电流相量的示意图。由图可见,无中线时,不对称三相负载Y连接,负载有的相电压高,有的相电压低,负载不能正常工作。因此,不对称三相负载Y连接时必须设有中线。

随便看

 

离鸟网收录3541549条中英文词条,其功能与新华字典、现代汉语词典、牛津高阶英汉词典等各类中英文词典类似,基本涵盖了全部常用中英文字词句的读音、释义及用法,是语言学习和写作的有利工具。

 

Copyright © 2004-2024 vtrois.com All Rights Reserved
更新时间:2026/4/18 5:20:17