网站首页  词典首页


请输入您要查询的字词:

 

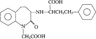
字词 贝那普利拉
类别 中英文字词句释义及详细解析
释义 贝那普利拉

C22H24N2O5=396.44

CAS-86541-78-8

3-[(1-羧基-3-苯-丙基)氨基]-2,3,4,5-四氢-2-氧-1H-1-苯并氮杂-1-醋酸,[S-(R*,R*)]。

3-[(1-Carboxy-3-phenylpropyl)amino]-2,3,4,5-tetrahydro-2-oxo-1H-1-benzazepine-1-acetic acid,[S(R*,R*)]-.

(3S)-3-[[(1S)-羧基-3-苯丙基]氨基]-2,3,4,5-四氢-2-氧-1H-1-苯并氮杂-1-醋酸。

(3S)-3-[[(1S)-1-Carboxy-3-phenylpropyl]amino]-2,3,4,5-tetrahydro-2-oxo-1H-1-benzazepine-1-acetic acid.

抗高血压药。

Benazeprilat,CGS 14831.

INN,USAN.

随便看

 

离鸟网收录3541549条中英文词条,其功能与新华字典、现代汉语词典、牛津高阶英汉词典等各类中英文词典类似,基本涵盖了全部常用中英文字词句的读音、释义及用法,是语言学习和写作的有利工具。

 

Copyright © 2004-2024 vtrois.com All Rights Reserved
更新时间:2026/4/19 20:24:53