网站首页  词典首页


请输入您要查询的字词:

 

字词 贝达(β)分布
类别 中英文字词句释义及详细解析
释义 贝达(β)分布

亦称“皮尔生Ⅰ型分布”。

皮尔生曲线系中最重要的分布之一。它的分布形态决定于所选择的参数。

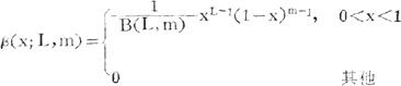
其分布密度函数为:

其他

其中:

则称x服从参数为L和m的β分布。其数学期望为L/L+m,方差为Lm/(L+m)2(L+m+1):k阶原点矩=B(L+k·m)/B(L·m)。

则当(1)取x=p、L+m-2=n时,就成为二项分布;(2)取2(L+1)=n,m=1/2,时,就成为p=0时的伽玛分布;(3)取L=1,m=1时,就成为均匀分布或矩形分布。

随便看

 

离鸟网收录3541549条中英文词条,其功能与新华字典、现代汉语词典、牛津高阶英汉词典等各类中英文词典类似,基本涵盖了全部常用中英文字词句的读音、释义及用法,是语言学习和写作的有利工具。

 

Copyright © 2004-2024 vtrois.com All Rights Reserved
更新时间:2026/4/18 21:09:18