网站首页  词典首页


请输入您要查询的字词:

 

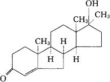
字词 贝诺睾酮
类别 中英文字词句释义及详细解析
释义 贝诺睾酮

C19H28O2=288.43

CAS-3570-10-3

17-羟基-17-甲基-(17β)-β-去甲雄甾-4-烯-3-酮。

β-Norandrost-4-en-3-one,17-hydroxy-17-methyl-,(17β).

17β-羟基-17-甲基-β-去甲雄甾-4-烯-3-酮。

17β-Hydroxy-17-methyl-β-norandrost-4-en-3-one.

雄激素拮抗药。

Benorterone,SK& F 7690,FC612.

INN,USAN.

随便看

 

离鸟网收录3541549条中英文词条,其功能与新华字典、现代汉语词典、牛津高阶英汉词典等各类中英文词典类似,基本涵盖了全部常用中英文字词句的读音、释义及用法,是语言学习和写作的有利工具。

 

Copyright © 2004-2024 vtrois.com All Rights Reserved
更新时间:2026/4/18 19:41:05