网站首页  词典首页


请输入您要查询的字词:

 

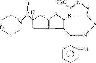
字词 贝帕泛
类别 中英文字词句释义及详细解析
释义 贝帕泛

C23H22ClN5O2S=467.97

CAS-114776-28-2

4-[[6-(邻-氯苯基)-8,9-二氢-1-甲基-4H,7H-环戊二烯并[4,5]噻嗯并[3,2-f]-均-三唑并[4,3-a][1,4]二氮杂-8-基]羰基]吗啉。

4-[[6-(o-Chlorophenyl)-8,9-dihydro-1-methyl-4H,7H-cyclopenta[4,5]thieno[3,2-f]-s-triazolo[4,3-a][1,4]diazepin-8-yl]carbonyl]morpholine.

抗凝血药。

Bepafant.

INN,USAN.

随便看

 

离鸟网收录3541549条中英文词条,其功能与新华字典、现代汉语词典、牛津高阶英汉词典等各类中英文词典类似,基本涵盖了全部常用中英文字词句的读音、释义及用法,是语言学习和写作的有利工具。

 

Copyright © 2004-2024 vtrois.com All Rights Reserved
更新时间:2026/4/19 6:14:07