网站首页  词典首页


请输入您要查询的字词:

 

字词 贝尼地平
类别 中英文字词句释义及详细解析
释义 贝尼地平

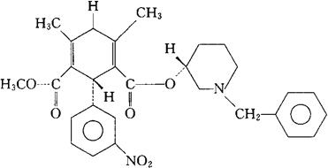
C28H31N3O6=505.57

CAS-105979-17-7

(±)-(R*)-3-[(R*)-1-苄基-3-哌啶基]甲基1,4-二氢-2,6-二甲基-4(间-硝苯基)3,5-吡啶二羧酸酯。

(±)-(R*)-3-[(R*)-1-Benzyl-3-piperidyl]methyl 1,4-dihydro-2,6-dimethy1-4-(m-nitrophenyl)-3,5-pyridinedicarboxylate.

血管扩张药。

Benidipine.

INN,USAN.

随便看

 

离鸟网收录3541549条中英文词条,其功能与新华字典、现代汉语词典、牛津高阶英汉词典等各类中英文词典类似,基本涵盖了全部常用中英文字词句的读音、释义及用法,是语言学习和写作的有利工具。

 

Copyright © 2004-2024 vtrois.com All Rights Reserved
更新时间:2026/4/19 11:27:36