网站首页  词典首页


请输入您要查询的字词:

 

字词 贝尔格的货币供应方程式
类别 中英文字词句释义及详细解析
释义 贝尔格的货币供应方程式

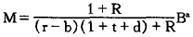
美国经济学家A·贝尔格在弗里德曼-施瓦兹、P·卡甘和J·乔丹等人的货币供应方程式的基础上提出的较为复杂的货币供应模型。A·贝尔格的货币供给理论与J·乔丹的理论有相同之处,但贝尔格涉及的经济变量和因素要比乔丹多一些,因而,其货币供给模型也更为接近实际的货币供给过程。贝尔格的货币供给方程式可表述为:

式中,r为商业银行的存款准备率;(T为商业银行对社会公众的定期存款负债,DP为商业银行对社会公众的活期存款负债);(Dt为商业银行对政府部门的存款负债);(CP为社会公众持有的通货);Ba为净来源基数;b为商业银行的借入准备率,即商业银行向中央银行的贴现借款与其存款总额之比。

很显然,上式中除了b之外,其余因子都与J·乔丹的模型一致。贝尔格认为,之所以要引入b,是因为在乔丹模型中没有考虑到商业银行向中央银行的借入准备金,因而不能接近实际的货币供给过程。同理,B所表示的是从基础货币中减去商业银行向中央银行的贴现和借款后的余额,Ba据此可称为“净来源基数”。在该方程中,货币供应量由“净来源基数”与货币乘数决定。而货币乘数则取决于五个因素:商业银行的存款准备率r;商业银行的借入准备率b;政府存款比率d;通货比率R和商业银行的定期存款比率t。贝尔格运用数学中的弹性分析和偏导数分析、检验了这些因素对货币乘数的不同影响。他认为商业银行存款准备金率、通货比率和定期存款比率的变化均会引起货币乘数相反方向的变化,货币乘数为存款准备金率、通货比率和定期存款比率的递减函数。借入准备率的变化则会引起货币乘数相同方向的变化,即货币乘数为借入准备金率的递增函数。

随便看

 

离鸟网收录3541549条中英文词条,其功能与新华字典、现代汉语词典、牛津高阶英汉词典等各类中英文词典类似,基本涵盖了全部常用中英文字词句的读音、释义及用法,是语言学习和写作的有利工具。

 

Copyright © 2004-2024 vtrois.com All Rights Reserved
更新时间:2026/4/21 1:01:34