网站首页  词典首页


请输入您要查询的字词:

 

字词 贝叶斯均衡
类别 中英文字词句释义及详细解析
释义 贝叶斯均衡

贝叶斯均衡是不完全信息博弈(贝叶斯博弈)的均衡概念,静态的不完全信息博弈的均衡被称为贝叶斯纳什均衡,动态的不完全信息博弈的均衡被称为精炼的贝叶斯纳什均衡。

解决不完全信息的方法是使用哈萨尼转换(参见哈萨尼转换)。

静态贝叶斯博弈记为G={a1,…,an;θ1,…,θn;p1,…,pn;u1,…,un}。其中ai是第i个博弈方采取的行动(纯策略),ai∈Aii),Aii)是第i个博弈方类型依存的行动空间;θi是第i个博弈方的类型,i是第i个博弈方的类型空间;pi是第i个博弈方的类型为θiii)的概率。

ui是第i个博弈方的效用,ui=ui(a1,…,ai,…,an;θ1,…,θi,…,θn)=ui(ai,a-i;θi,θ-i)。其中θ-i=(θ1,…,θi-1,θi+1,…,θn)。

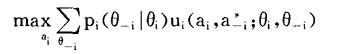
定义一:如果对所有的i,ai*∈Aii),使得:

则a*=(a1*,…,an*)就称为一个(纯策略)贝叶斯纳什均衡。

混合策略的贝叶斯纳什均衡的定义类似。其中pi-ii)是第i个博弈方在已知自己的类型为θi时判定其他博弈方类型属于θ-i的概率。

在动态博弈中,记Sii)为第i个博弈方类型依存的策略空间,si∈Sii)是Si中的一个特定的策略。记ai=(a,…,a#1,a+1,…,a)是在第h个信息集(参见信息集)上参与人i观测到其他参与人的行动组合。

-i|ai)是第i个博弈方在观测到ai后关于θ-i的后验概率。

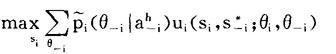
定义二:精炼贝叶斯均衡是一个策略组合s*=(s1*,…,sn*)和一个后验概率分布=(1,…,n),满足:

1.对于所有博弈方i,在每一个信息集h,si*使得:

2.后验概率ii|ai)是使用贝叶斯法则,从先验概率pi-ii),观察到的ai和最优策略si得到的(在可能的情况下)。

需要注意的是,精炼的贝叶斯均衡不仅仅是关于策略的均衡,而是关于策略s*和对类型的判断(信念)的共同均衡。给定信念,策略s*是最优的;给定均衡策略s*是使用贝叶斯法则从均衡策略和观测到的行动得到的。

随便看

 

离鸟网收录3541549条中英文词条,其功能与新华字典、现代汉语词典、牛津高阶英汉词典等各类中英文词典类似,基本涵盖了全部常用中英文字词句的读音、释义及用法,是语言学习和写作的有利工具。

 

Copyright © 2004-2024 vtrois.com All Rights Reserved
更新时间:2026/4/17 15:39:03