贝叶斯公式
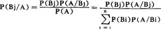
也称“逆概率公式”、“假设概率公式”。 英国统计学家贝叶斯首创。指各分事件的概率与全概率之比。设事件A与完备事件组B1,B2,…,Bn之一同时发生时,由P(ABj)=P(A)P(Bj/A)=P(Bj)P(A/Bj)(j=1,2,…,n),且P(Bi)>0(i=1,2,……n),P(A)>0,可推出:  此公式称之为贝叶斯公式。应用时,称P(B1),P(B2),…,P(Bn)为验前概率,称P(B1/A),P(B2/A),…P(Bn/A)为验后概率。 验前概率是根据过去的试验结果来确定的,而验后概率则是在目前的一次试验中,发生了事件A以后,对B1,B2,…,Bn发生的概率的新认识。贝叶斯公式就是从验前概率推算验后概率的公式。 这种根据试验结果对验前概率进行修正,求得验后概率的方法,在决策问题中有广泛的应用。 |