网站首页  词典首页


请输入您要查询的字词:

 

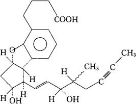
字词 贝前列素
类别 中英文字词句释义及详细解析
释义 贝前列素

C24H30O5=398.50

CAS-88430-50-6A

(±)-(1R*,2R*,3aS*,8bS*)-2,3,3a,8b-四氢-2-羟基-1-[(E)-(3S*)-3-羟基-4-甲基-1-辛烯-6-炔基]-1H-环戊二烯并[b]苯并呋喃-5-丁酸。

(±)-(1R*,2R*,3aS*,8bS*)-2,3,3a,8b-Tetrahydro-2-hydroxy-1-[(E)-(3S*)-3-hydroxy-4-meth-yl1-octen-6-ynyl]-1H-cyclopenta[b]benzofuran-5-butyric acid.

前列腺素类药。

Beraprost,ML-1229,MDL-201229.

INN,USAN.

随便看

 

离鸟网收录3541549条中英文词条,其功能与新华字典、现代汉语词典、牛津高阶英汉词典等各类中英文词典类似,基本涵盖了全部常用中英文字词句的读音、释义及用法,是语言学习和写作的有利工具。

 

Copyright © 2004-2024 vtrois.com All Rights Reserved
更新时间:2026/4/19 6:55:44