网站首页  词典首页


请输入您要查询的字词:

 

字词 豆科威
类别 中英文字词句释义及详细解析
释义 豆科威

又称草灭平。

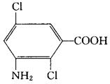
苯甲酸类内吸选择性苗前除草剂。化学名称:2,5-二氯-3-氨基苯甲酸。

化学结构式如下。纯品为白色无臭晶体,熔点200~201℃,蒸气压933× 10-3Pa/100℃。

25℃时水中溶解度700mg/L,其铵盐易溶于水。性质稳定,对热、氧化和酸、碱介质的水解稳定。

能被萌发的杂草种子及根系吸收,但在杂草体内传导能力较差。主要抑制细胞中线粒体对氧的吸收,从而杀死杂草。大豆等作物有较强的抗性,可代谢而失去活性。主要用于大豆、菜豆、花生、甘蓝、辣椒、玉米等作物田防除稗草、马唐、狗尾草、牛筋草、地肤、藜、苋、蓼、豚草等一年生单、双子叶杂草。豆科威对人、畜低毒,雄大白鼠急性口服LD50为5620mg/kg,急性经皮LD50>3160mg/kg。

随便看

 

离鸟网收录3541549条中英文词条,其功能与新华字典、现代汉语词典、牛津高阶英汉词典等各类中英文词典类似,基本涵盖了全部常用中英文字词句的读音、释义及用法,是语言学习和写作的有利工具。

 

Copyright © 2004-2024 vtrois.com All Rights Reserved
更新时间:2026/4/18 6:32:22