网站首页  词典首页


请输入您要查询的字词:

 

字词 调节底辊轴线角度控制中高的方法
类别 中英文字词句释义及详细解析
释义 调节底辊轴线角度控制中高的方法

调节底辊轴线角度控制中高的方法是Farrel公司所提出,最初应用于塑料与橡胶工业。这一方法是按照最小线压力研磨底辊中高。当线压力提高时,则调节底辊轴线角度(原来底辊轴线是与次辊轴线重合,均与纸机中心线垂直的,调节底辊轴线就是使之与次辊辊线成一交角),使之在新的线压力下,底辊与次辊间的压区压力全幅尚能一致。

图11-6-17是调节底辊轴线角度控制中高方法的原理。

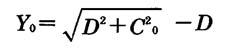
如图11-6-17所示,底辊轴线调节后,底辊中心与次辊中心的垂直距离由原来的O变成C0,底辊与次辊两端的间隙变为Y0,Y0的两倍即调节底辊轴线后新的中高值。Y0与C0及辊子直径直径间的关系如下:

随便看

 

离鸟网收录3541549条中英文词条,其功能与新华字典、现代汉语词典、牛津高阶英汉词典等各类中英文词典类似,基本涵盖了全部常用中英文字词句的读音、释义及用法,是语言学习和写作的有利工具。

 

Copyright © 2004-2024 vtrois.com All Rights Reserved
更新时间:2026/4/20 6:12:02