网站首页  词典首页


请输入您要查询的字词:

 

字词 调和平均数
类别 中英文字词句释义及详细解析
释义 调和平均数

亦称“倒数平均数”。

指各个变量倒数的算术平均数的倒数。有简单调和平均数和加权调和平均数。计算公式为:

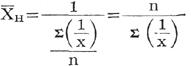
简单调和平均数:

加权调和平均数:

式中:H代表调和平均数,x代表变量,w代表权数,∑为总计的符号。

在同一分配数列中,调和平均数总是小于算术平均数,但以组标志总量(xf)加权的调和平均数,则等于以组单位数(f)加权的算术平均数:

如果只有标志总量而缺少总体单位数时,可用以组标志总量加权的调和平均数取得同以组次数加权的算术平均数一样的结果。在计算相对数的平均数(如零售额计划完成程度)时,如果已有作为母项(f)的计划数,而无作为子项(xf)的零售额,则用加权算术平均数,以标志值乘母项(f)得子项(xf);如已有作为子项(xf)的零售额而无作为母项(f)的计划数,则用加权调和平均数,以计划完成百分比(x)的倒数乘以实际零售额(xf)而得母项。在计算平均数的平均数(如某商品的平均价格)时,如果已有作为子项(xf)的零售总额,而无作为母项(f)的零售量,则用加权调和平均数。

在标志值中有零时,就不能计算调和平均数,因为零的倒数为无穷大。

随便看

 

离鸟网收录3541549条中英文词条,其功能与新华字典、现代汉语词典、牛津高阶英汉词典等各类中英文词典类似,基本涵盖了全部常用中英文字词句的读音、释义及用法,是语言学习和写作的有利工具。

 

Copyright © 2004-2024 vtrois.com All Rights Reserved
更新时间:2026/4/18 17:23:17