网站首页  词典首页


请输入您要查询的字词:

 

字词 诺那莫林
类别 中英文字词句释义及详细解析
释义 诺那莫林

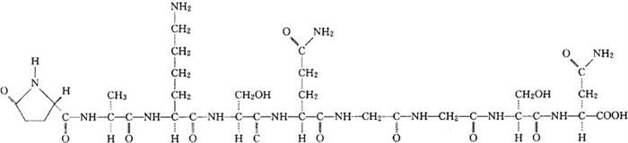
C33H54N12O15=858.86

CAS-63958-90-7

N2-[N-[N-[N-[N2-[N-[N2-[N-(-5-氧代-L-脯氨酰)-L-丙氨酰]-L-赖氨酰]-L-丝氨酰]-L-谷氨酰胺酰]甘氨酰]甘氨酰]-L-丝氨酰]-L-天冬酰胺。

N2-[N-[N-[[N-[N2-[N-[N2-[N-(-5-Oxo-L-prolyl)-L-alanyl]-L-lysyl]-L-seryl]-L-glutaminyl]glycyl]glycyl]-L-seryl]-L-asparagine.

INN,USAN.

随便看

 

离鸟网收录3541549条中英文词条,其功能与新华字典、现代汉语词典、牛津高阶英汉词典等各类中英文词典类似,基本涵盖了全部常用中英文字词句的读音、释义及用法,是语言学习和写作的有利工具。

 

Copyright © 2004-2024 vtrois.com All Rights Reserved
更新时间:2026/4/19 14:40:18