网站首页  词典首页


请输入您要查询的字词:

 

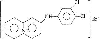
字词 诺利溴铵
类别 中英文字词句释义及详细解析
释义 诺利溴铵

C15H11BrCl2N2=370.08

CAS-40759-33-9

2-[(3,4-二氯苯基)氨基]喹嗪鎓溴化物。

2-[(3,4-Dichlorophenyl)amino]quinolizinium,bromide.

2-(3,4-二氯苯胺基)喹嗪鎓溴化物。

2-(3,4-Dichloroanilino)quinolizinium bromide.

解痉药,抗溃疡药。

二氯苯胺喹嗪。

Nolinium Bromide,EU-2972.

INN,USAN.

随便看

 

离鸟网收录3541549条中英文词条,其功能与新华字典、现代汉语词典、牛津高阶英汉词典等各类中英文词典类似,基本涵盖了全部常用中英文字词句的读音、释义及用法,是语言学习和写作的有利工具。

 

Copyright © 2004-2024 vtrois.com All Rights Reserved
更新时间:2026/4/18 12:36:25