诺乙雄龙
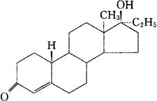
C20H30O2=302.46 CAS-52-78-8 17α-乙基-17β-羟雌甾-4-烯-3-酮。 17α-Ethyl-17β-hydroxyestr-4-en-3-one. 17-羟-19-去甲孕甾-4-烯-3-酮。 l7-Hydroxy-19-norpregn-4-en-3-one. 17-乙基-19-去甲睾甾酮。 17-Ethyl-19-nortestosterone. 雄激素药,同化激素类药。 乙诺酮,乙基去甲睾酮,诺乙龙。 Norethandrolone,Nilevar,Pronabol,CB 8022, Aethylestrenolone. INN,BAN,BP,DCF,DCIT,NF,USAN,MI.  |