证实原子能级的实验方法
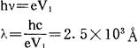
在历史上最早用实验证实原子能级的是1914年由弗兰克和赫兹实现的,其实验装置如图1所示,在玻璃容器中充以要测量的气体(最初测的是汞汽),电子由热阴极K发出,相对于K,栅极G与接收极A都处于正电位,在G与A间加有0.5伏的反电压,电子在KG空间将受到电场的加速,其中一些电子与气体原子相碰,那些进入GA空间时具有较大能量的电子,将能克服反电场作用而到达A,那些在相碰撞失去可观能量的电子,则不能到达A,实验中KG间加速电压是可调的,到达A的电子数用板极电流显示。 对于汞汽实验结果如图2所示,KG间加速电压约为4.9伏的整数倍的各值下发生板流的陡降,4.9伏称为汞原子的第一激发电位V1。被激发到第一激发态的汞原子在跃回到基态时会发射出相应光子,应有  这种光谱线确实在实验中被观察到并测量得波长为2536 这与理论值很接近。  
|