网站首页  词典首页


请输入您要查询的字词:

 

字词 设计计算步骤与方法
类别 中英文字词句释义及详细解析
释义 设计计算步骤与方法

【说明】 下面以气垫式孔板——孔辊流浆箱为例,对设计计算步骤与方法作一说明。

1.锥管布浆器的计算

(1)进口端的流量Q0

【公式】

式中 Q——计算喷浆流量(m3/s)

ω1——流浆箱内(前墙或后墙)溢流率(%)

QR1——由流浆箱(前墙或后墙)溢出的浆料(m3/s)

ω——锥管细端回流率(%)

QR——锥管细端回流浆量(m3/s)

Q0——锥管进浆量(m3/s)

(2)进口端截面积A0

【公式】

式中 V——进口截面上的计算流速,或按拜纳斯方程式计算时的流速(m/s),可取2.5~3m/s。

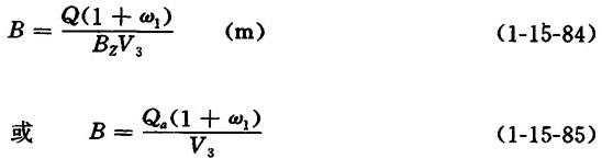
(3)等宽矩形锥管布浆器的截面高度B

【说明】 对于等宽矩形布浆器,其截面宽度B的计算要按与其相配的孔板来决定,而孔板的宽度(垂直于纸机幅宽方向上的尺寸)就是其下游流道的“高度”。于是,这一高度也就是锥管布浆器的截面宽度B。

【公式】

式中 V3——孔板下游流道的计算流速(m/s)

其它同上

【讨论】 从式1-15-85可以看出在计算流道尺寸时应用单位计算喷浆流量所带来的方便,亦即可不必屡屡地在计算中引入闸口幅宽Bz

(4)锥管布浆器的尺寸计算

【说明】 锥管布浆器的尺寸计算在确定了流速V、截面宽度B、进口端截面积A0以及细端回流率之后可按本节“一、(五)”的方法进行。

2.孔板的计算

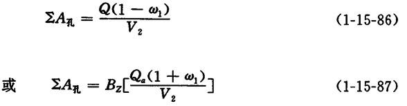
(1)孔板开孔的总面积ΣA

【公式】

式中 V2——孔板孔中的计算流速(m/s)

其它符号含义及单位同前

(2)孔板开孔率λ

【公式】

式中符号含义及单位均同上。

(3)孔板上孔数的计算

【说明】 参考式1-15-25。

【公式】

式中 d——孔板孔径(m)

其它同上

(4)孔板上的排孔尺寸的确定

【说明】 孔板上的排孔尺寸的确定应按孔板上排孔的方式需满足的三个条件来计算并圆整。即❶ 用等边单元三角形的棋盘形排孔形式;
❷ 沿孔板宽度(即流道高度)的方向上,孔的排数成为奇数;
❸ 最靠边的上下两排的两端共4个孔与流道壁的距离均等于或接近半个孔距。当然,经过圆整后的棋盘形排孔可能不是等边单元三角形而是等腰单元三角形的。设沿纸机横幅方向(孔板长度方向)上的孔距为tx,而沿孔板宽度方向上的孔距为ty,则tx与ty的关系可作如下计算:

a.按等边单元三角形的棋盘形排孔形式

【公式】

b.按条件❷ 、❸ 则有如下关系

【公式】

B/ty=m(m为奇数) (1-15-91)

式中符号含义及单位同前

【讨论】 显然,在边长分别为tx及ty的小矩形面积内将正好包含有一个孔,故得:

式中 Bz——闸口幅宽(m)

B——截面高度(m),见式1-15-84

其它同上

3.孔辊的计算

【说明】 孔辊的有关参数可按本节第“二”所述方法进行计算,但孔辊的直径通常都是按流道高度或浆池中的浆位高度来决定的。

(1)喉辊直径的确定

【说明】 对于位于孔板下游流道中的喉辊,已算出了流道高度B,一般地可初步取喉锟直径比B小10mm左右。但往往为了在设计上取喉辊与闸辊有相同的直径而要放大喉管直径,此时可把喉辊附近的流道高度相应地放大到比喉管直径大6~10mm。这样,孔板下游流道就会成为略有扩展的流道。

(2)闸辊的直径

【说明】 闸辊的直径按流浆箱体内浆池中的浆位高度计算,可按比浆位高度小10mm左右并圆整成适当的整数来考虑。流浆箱体内浆池中浆位的高度可按下式计算。

a.在前墙溢流时(气垫式流浆箱)

【公式】

式中 V4——浆池中的计算流速(m/s)

其它同上

b.在后墙溢流时

【公式】

式中符号含义及单位均同前

【讨论】 按上式算出H值后,不仅可以确定闸辊的直径,还可由要求的理论压头(式1-15-69)得出要求的气垫压力。

4.流道的长度S

(1)喉辊中心距孔板面的距离S1

【公式】

式中 D1——喉管直径(m)

d——孔板的孔径(m)

(2)喉辊与闸辊中心间的距离S2

【说明】 S2决定了流浆箱内浆池的长度。一般情况下,S2可按下式计算

【公式】

式中 K——系数,K=16~20

D1、d1——喉辊的直径及孔径(m)

D2——闸辊直径(m)

【讨论】 当喉辊与闸辊间设有中间孔辊时,则浆池长度分为两段,这两段均可用上式计算,此时D1及D2将分别相应于上、下游的孔辊,d1为上游孔辊的孔径,K在计算前一段时可用10~12,后一段时可用12~16。

5.敛唇式上浆装置的流道L

【说明】 敛唇式上浆装置的流道长度指沿收敛角中线并自闸辊辊面算起的流道长度。

【公式】

式中 h1——流道的上游端(粗端)高度(m),h1=0.6~0.8D

D——闸辊直径(m)

h——喷缝开度(m)

α——敛唇流道的收敛角(度),通常取α=30°

【注意】 按上式计算的L值应该大于或等于用式1-15-15和式1-15-17算出的值。

随便看

 

离鸟网收录3541549条中英文词条,其功能与新华字典、现代汉语词典、牛津高阶英汉词典等各类中英文词典类似,基本涵盖了全部常用中英文字词句的读音、释义及用法,是语言学习和写作的有利工具。

 

Copyright © 2004-2024 vtrois.com All Rights Reserved
更新时间:2026/4/19 12:24:14