网站首页  词典首页


请输入您要查询的字词:

 

字词 计量经济模型预测法
类别 中英文字词句释义及详细解析
释义 计量经济模型预测法

一种应用计量经济学模型进行经济现象未来发展趋势预测的方法。

计量经济模型用一组联立方程来描述各变量之间的相互关系。这些方程式可以是回归方程式,也可以是定义方程式或经验方程式,其中的回归方程可以是线性方程,也可以是非线性方程。利用计量经济模型预测,不但可以揭示自变量对所预测变量的制约关系,还可以反映预测变量对自变量的反馈作用以及自变量之间的关系。计量经济模型能够揭示变量之间错综复杂的关系,它所反映出的经济机制更接近实际,所得到的结果往往比较精确。

计量经济模型用于预测,一般有四个步骤:(1)建模;(2)估计参数;(3)检验与验证;(4)预测。下面分别予以介绍:

(1)建模 建立计量经济模型首先要找出预测对象中的主要经济变量,然后按照经济理论用方程描述它们之间可能存在的依存关系。

一般的计量经济模型如下式所示:

Ax+By=u

式中x为内生变量向量;y为外生变量向量;A为内生变量系数矩阵;B为外生变量系数矩阵;u为误差向量。

若估算出A、B的估计值,就可以由给出的外生变量y的预计值yF推算出内生变量的数值解,如

在制定模型时,根据经济理论建立方程,一般有下列三种:

a 定义方程即定义性的恒等式或定义性的方程。例如:

国民收入=消费+投资+政府开支

或写成:Yt=Ct+It+Gt

b 随机方程 随机方程是计量经济模型的基础部分。

模型中的随机扰动在变量测定中通常取随机误差的形式。有了随机扰动的假定,就非常便于从统计上估算其未知常数,即进行参数估计,随机方程可分为移动平均模型、自回归模型、混合回归移动平均模型、自回归移动平均模型。

c 结构方程 表示经济行为,反应一定的经济关系的方程,统称为结构方程。例如行为方程、制度方程、技术方程和调节方程等。

将预测过程中的各种经济关系用相应的数学方程表述出来并联立成方程组,这个预测对象的计量经济模型就构筑起来了。

例如一个描述国民收入的简单的宏观经济模型,可用下面的联立方程表示:

Ct01yt+uct (1)

It01yt2yt-1+utt (2)

Yt=Ct+It+Gt (3)

其中Ct、It、Yt、Gt分别表示当年的消费、投资、国民收入和政府开支;yt-1表示前一年的国民收入;uct、ult都是随机扰动因素;α0、α1、β0、β1、β2都是结构系数。

可以看出,(a)为消费函数;(b)表示当年的投资取决于当年和前一年的国民收入;(c)表示国民收入等于消费、投资和政府开支之和。

(2)估计参数 就是将联立方程组中各方程独立,视各经济变量为已知数(即将各历史统计数代入),应用最小二乘法,求出各参数的具体数值。

这里随机扰动的平均值为零。

(3)检验与验证 为了判断求得参数的方程是否有效,即从统计意义上能否代表过去历史数据所表征的现象,必须运用数理统计学中有关的统计检验原理和方法进行检验与验证。

检验是检验估计量在统计意义上是否站得住,而验证是探索所拟定的模型是否与实际相符,两者之间有密切的联系。

它们的具体内容有:方差分析、t-检验、F-检验、D·W-检验以及拟合优度检验等。

(4)进行预测 模型和参数经过检验和验证后,即可用于预测。预测时,先假设某种前定条件进行外推或内插,以求得未来各时期的各种变量的状况。

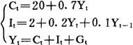
如对如下的模型:

进行预测时,先确定前定变量Yt-1和Gt,假定Yt-1=100,Gt=20,代入上式模型,即可求得:

Gt=364

It=116

Yt=520

一般的计量经济模型比较复杂,特别是宏观经济预测,必须考虑各种不同的边界条件和经济目标,加上动态、随机因素,不是几个简单的方程所能解决的。但不管是简单的还是复杂的计量经济模型,其解决问题的基本思路是大同小异的。

在应用计量经济模型时,除上述四个一般步骤外,设计理论模型和估计外生变量也是值得注意的问题。设计理论模型,必须首先考虑我们国家的社会主义性质,不能照搬资本主义国家的经验,应当从马克思主义经济学原理和我国社会主义建设的实践出发来设计理论模型。

对于外生变量的确定,可用模型以外的方法,如回归法、平滑法、德尔菲法等进行预测。如果有条件,即统计资料完备,也可采用抽样调查、详细摸底等方法。

随便看

 

离鸟网收录3541549条中英文词条,其功能与新华字典、现代汉语词典、牛津高阶英汉词典等各类中英文词典类似,基本涵盖了全部常用中英文字词句的读音、释义及用法,是语言学习和写作的有利工具。

 

Copyright © 2004-2024 vtrois.com All Rights Reserved
更新时间:2026/4/17 17:06:48