计算天体的密度ρ
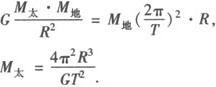
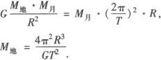
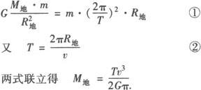
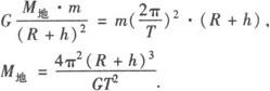
若已知天体的半径R和质量M,则天体的体积为:V=4/3πR3,  若测出该天体的环绕天体的轨道半径r及周期T,则可求得该天体的质量M(如前面的❷ 式),进而求得该天体的密度为:  若环绕天体在该天体表面附近运行,则r≈R,上式变为: ❿ 例 已知万有引力常量G,要计算地球的质量必须知道某些数据,现在给出下列各组数据,可以计算出地球质量的有哪些组( ). A.地球绕太阳运行的周期T和地球离太阳中心的距离R B.月球绕地球运行的周期T和月球离地球中心的距离R C.人造地球卫星在地面附近运行的速度v和运动周期T D.地球半径R和同步卫星离地面的高度 分析 地球绕太阳运行时,由万有引力提供向心力,对地球,根据牛顿第二定律  只能求出太阳的质量,无法求出地球的质量,因此A错,B项中,月球绕地球运行时,根据牛顿第二定律,对月球:  由此可求出地球的质量,B对,C项中,人造地球卫星在地面附近运行时,设人造地球卫星的质量为m,由牛顿第二定律,对卫星:  由此可求出地球质量,C对,D项中,设同步卫星的质量为m,离地面的高度为h,同步卫星的周期与地球自转周期相同,设为T,则对同步卫星:  由此可求出地球的质量,所以D对 答 B、C、D. |