计算公式
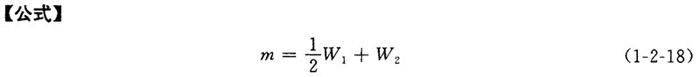
1.液比的计算 【公式】  式中 P——液比(t/m3或kg/L) G——绝干原料量(t或kg) V——蒸煮总液量(m3或L) 2.蒸煮总液量的计算 【公式】  式中 V——总液量(m3或L) V1——碱液量(m3或L) V2——碱液稀释用水量(m3或L) V3——原料中含水量(m3或L) 3.碱液浓度的计算 【公式】  式中 C——碱液浓度(g/L) W——活性碱量(g) V1——碱液体积(L) 4.硫化度的计算 【公式】  式中 D——硫化度(%) W1——硫化钠的重量(g或kg) W2——氢氧化钠的重量(g或kg) 5.用碱量的计算 【公式】  式中 q——用碱量(%),以Na2O或NaOH表示 W、G——含义及单位同前 6.活性碱量的计算  式中符号及含义同前 【注意】计算时W1和W2需转化成同一种化学组成成分表示,见下(二)。 7.有效碱量的计算  式中 m——有效碱量(g或kg) 其它同前 8.蒸煮烧碱用量的计算 【公式】  式中 W2——烧碱用量[kg/球(或锅)],以NaOH计 G——总装球(或锅)量(以绝干料片计)(kg) q——用碱量(以Na2O计)(%) P2——烧碱的纯度(%) 40——NaOH的克当量(g) 31——NaO的克当量(g) 9.硫化钠用量的计算 【公式】  式中 W1——硫化钠用量[kg/球(或锅)],以Na2S计 P1——硫化钠纯度(%) 39——Na2S的克当量(g) 其它同前 |