网站首页  词典首页


请输入您要查询的字词:

 

字词 覆盆子叶
类别 中英文字词句释义及详细解析
释义 覆盆子叶

【概况】:

异名 西国草(《海上集验方》)。

基源 为蔷薇科悬钩子属植物掌叶覆盆子及插田泡等的茎叶。

原植物 掌叶覆盆子Rubus chingii Hu插田泡Rubus coreanus Miq

余项参见“覆盆子”条。

【化学】:

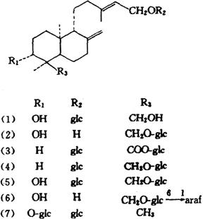
掌叶覆盆子叶中含有覆盆子甙(Goshonoside)-F1(1)、F2(2)、-F3(3)、-F4(4)、-F5(5)、F6(6)、F7(7)[1,2]

R.coreanus Miq.的叶、果均含插田泡甙(Coreanoside)F1[3]

注:glc=β-D-glucopyanosyl

araf=a-L-arabinofuranosyl

参考文献 [1] Chem Pharm Bull 1987;35(7)∶3021 [2] Chem Pharm Bull 1991;39(9)∶2443 [3] Phyfochemistry 1990;29(10)∶3275

【药性】:

性味 《纲目》:“酸、咸,平。”

功效 明目止泪,收湿气。

主治 眼睑赤烂,泪多,视物昏花,牙痛,臁疮。 《本草拾遗》:“挼绞取汁滴入目中,去肤赤,有虫出如丝线。”

用法用量 外用:捣汁点目或研末撒。

。【临床应用】:

单方应用 ❶ 崔元亮《海上集验方》:“治目暗不见物,冷泪不止及青盲,天行目暗等疾:西国草,日曝干,捣极细,薄绵裹,乳汁浸如人行八九里久,点目中,仰卧。”
❷ 《摘玄方》:“治牙疼:覆盆嫩叶捣汁点目眦内三四次。无新叶,干者煮浓汁亦可。


❸ 《仁斋直指方》:“治臁疮溃烂:覆盆子叶为末,患处用酸浆水洗后掺之,日1次,以愈为度。”

随便看

 

离鸟网收录3541549条中英文词条,其功能与新华字典、现代汉语词典、牛津高阶英汉词典等各类中英文词典类似,基本涵盖了全部常用中英文字词句的读音、释义及用法,是语言学习和写作的有利工具。

 

Copyright © 2004-2024 vtrois.com All Rights Reserved
更新时间:2026/4/17 22:41:20