网站首页  词典首页


请输入您要查询的字词:

 

字词 覆盆子
类别 中英文字词句释义及详细解析
释义 覆盆子

【概况】:

异名 覆盆(《别录》),乌藨子(《纲目》),小托盘(《中药材手册》),竻藨子(《江西中药》)。

基源 为蔷薇科悬钩子属植物掌叶覆盆子及插田泡等未成熟果实。悬钩子属有700多种;中国约产200种,约有30种供药用。

原植物 掌叶覆盆子Rubus chingii Hu插田泡Rubus coreanus Miq.又名插田藨(《经济植物手册》),高丽悬钩子(《华北经济植物志要》)。

除上述品种外.尚有多种同属植物的果实亦作覆盆子使用,如山莓Rubus corchorifolius L.f.(参见“悬钩子”条)使用于江苏;红泡刺藤Rubus niveus Thunb.(参见“硬枝黑锁梅”条)使用于云南;拟覆盆子Rubus idaeopsis Focke使用于西藏等。

历史 孟诜曰:“覆盆子,五月于麦田中得之良,采得,烈日晒干,免烂不堪。”《本草图经》云:“覆盆子,旧不著所出州土,今并处处有之,而秦、吴地尤多。苗短不过尺,茎叶皆有刺,花白,子赤黄,如半弹丸大,而下有茎承如柿蒂状,小儿多食。其实五月采,其苗叶采无时。

江南人谓之莓,然其地所生差晚。三月始有苗,八九月开花,十月而实成,功用相同,古方多用。

”《本草衍义》云:“覆盆子,长条,四五月红熟,秦州甚多,永兴、华州亦有。及时,山中人采来卖,其味酸甘,外如荔枝。

樱桃许大,软红可爱,失采则就枝生蛆。五六分熟便可采,烈日曝,仍须薄绵蒙之。”《本草蒙筌》云:“覆盆子,道旁田侧,处处有生,苗长七八寸余,实结四五颗止,大若半弹而有蒂,微生黑毛而中虚,赤熟,夏初小儿竞采,江南咸谓莓子。”《纲目》云:“蓬蘽子以八九月熟,故谓割田藨,覆盆以四五月熟,故谓插田藨,正与《别录》五月采相合。二藨熟时色皆乌赤,故能补肾。其四、五月熟而色红者,乃薅田藨也,不入药用。

陈氏所谓茅莓当覆盆者,盖指此也。”又云:“南土覆盆极多,悬钩是树生,覆盆是藤生,子状虽同,而覆盆乌赤,悬钩红赤,功亦不同,今正之。”

形态 掌叶覆盆子为藤状灌木;枝细,具皮刺,无毛。

单叶互生,近圆形,直径4~9cm,两面仅沿叶脉有柔毛或几无毛,基部心形,边缘掌状5深裂,稀3或7裂,裂片椭圆形或菱状卵形,顶端渐尖,基部狭缩,顶生裂片与侧生裂片近等长或稍长,具重锯齿;叶柄长2~4cm,微具柔毛或无毛,疏生小皮刺。单花腋生,直径2.5~4cm;花梗长2~3.5cm,无毛;萼筒毛较少或近无毛,萼片5,卵形或卵状长圆形,顶端具凸尖头,外面密被短柔毛;花瓣5,椭圆形或卵状长圆形,白色,顶端圆钝;雄蕊多数,花丝宽扁;雄蕊多数,具柔毛。聚合果近球形,红色,与花托连合成一体,直径1.5~2cm,密被灰白色柔毛;核有皱纹。

花期3~4月,果期5~6月。(图见《中国高等植物图鉴》.第2册.272页.图2273)

生境与分布 生于低海拔至中海拔的山坡、路边阳处或阴处灌丛中。

分布于中国江苏、安徽、浙江、江西、福建、广西等地。日本也有分布。

插田泡为灌木,高1~3m;枝粗壮,红褐色,被白粉,具近直立或钩状扁平皮刺。羽状复叶互生,小叶通常5,稀3,卵形,菱状卵形或宽卵形,长3~8cm,宽2~5cm,顶端急尖,基部楔形至近圆形,上面无毛或仅沿叶脉有短柔毛,下面被稀疏柔毛或仅沿叶脉被短柔毛,边缘有不整齐粗锯齿或缺刻状粗锯齿,顶生小叶顶端有时3浅裂;叶柄长2~5cm,顶生小叶柄长1~2cm,侧生小叶近无柄,与叶轴均被短柔毛或疏生钩状小皮刺。

伞房花序生于侧枝顶端,具花数朵至30余朵,总花梗和花梗均被灰白色短柔毛;花梗长5~10mm,花直径7~10mm;花萼外面被灰白色短柔毛,萼片5,长卵形至卵状披针形,长4~6mm,顶端渐尖,边缘具绒毛,花时开展,果期反折,花瓣5,倒卵形,淡红色至深红色,与萼片近等长,雄蕊多数,花丝带粉红色;雌蕊多数,子房被稀疏短柔毛,花柱无毛。聚合果不与花托连成一体,成熟时与花托分离,空心,直径5~8mm,深红色至紫黑色,无毛或近无毛;核具皱纹。

花期4~6月,果期6~8月。(图见《中国高等植物图鉴》.第2册.279页.图2287)生于海拔100~1700米的山坡灌丛或山谷、河边、路旁。分布于中国陕西、甘肃、河南、江西、湖北、湖南、江苏、浙江、福建、安徽、四川、贵州、新疆等地。朝鲜和日本也有分布。

。【生药】:

采集 6~8月间采收,将未成熟的青色的果实摘下,放入沸水中稍浸后,置烈日下晒干,簸去果梗杂质。

药材主产于浙江、福建。

鉴别

性状 为多数小核果聚合而成,全体呈半球形、扁圆锥形或类球形,上部钝圆,基部中心凹入,长6~13mm,直径5~12mm。表面灰绿色或淡棕色,密被灰白色或灰绿色短绒毛。宿萼棕褐色,5裂,裂片先端多已折断,上有许多棕色残存花丝,下有细长果柄或其痕迹。横切面类圆形,周围有小核果紧密排列成环,小核果囊状,长2~2.5mm,宽0.8~1.2mm,基部较小,背面隆起,密被灰白色或黄绿色茸毛,两侧有网状凹纹,腹部有突起棱形。质硬,内含棕色种子1粒。

气清香,味微酸涩。以粒完整、饱满、色黄绿具酸味者为佳。

显微 聚合果横切面:花托圆形,其周围排列众多小核果。小核果纵切面:外果皮为一列排列整齐切向延长的薄壁细胞,顶端部分的细胞多分化成单细胞非腺毛,毛茸脱落处遗留毛基残痕。

中果皮为3~5列长圆形的薄壁细胞,有的含草酸钙簇晶。内果皮较厚,作棱脊状突起,外侧为多层增厚的薄壁细胞,壁木化,最外层细胞较小,排列整齐,内侧为多层纤维,呈横纵或斜向排列。

种皮最外为一层切向延长的薄壁细胞,胞腔内充满棕色色素,其下为1~2列被挤压的薄壁细胞。胚乳及子叶薄壁细胞含糊粉粒和脂肪油。

(图见《中药志》.第3册.第2版.704页,图449、450、451) 粉末:黄棕色。 ❶ 非腺毛较多,单细胞,淡黄绿色或几无色。

大多平直,少数略弯曲或先端弯成钩状,大多碎断,完整者长37~264μm,直径7~20μm,壁甚厚,木化,胞腔线形或不明显,有的壁稍厚,胞腔较宽,有的表面可见双螺状裂纹,毛茸体部易断落,足部断面观类方形或类长方形,埋于表皮层,与其下的薄壁细胞相连,表面观似石细胞状,类圆形、类椭圆形或圆多角形,直径9~28μm,壁厚,孔沟较粗。
❷ 果皮表皮断面观细胞呈类长方形,外被角质层,其外缘细波状或细齿状;表面观呈类多角形,有的壁不甚明显。

气孔椭圆形或类圆形,直径18~30μm,副卫细胞4~6个。
❸ 内果皮纤维成束,上下数层垂直、斜向交错或平行排列,偶见单个散在,几无色或黄色。纤维较细长,平直或稍弯曲,直径4~10μm,壁木化。
❹ 草酸钙簇晶众多,存在于中果皮及宿萼薄壁细胞中。直径9~40μm,棱角尖锐或较钝。
❺ 子叶细胞含有糊粉粒、脂肪油滴及细小簇晶。

糊粉粒类圆形或长圆形,直径3.5~9μm;簇晶直径2~7μm,结晶中央似有细点状空穴,一个细胞中常含有数个簇晶。
❻ 种皮表皮细胞成片。

表面观呈类长方形或类多角形,直径8~28μm,垂周壁薄,细波状弯曲,有的胞腔中含淡棕色物。

❼ 网纹细胞成片存在,位于中果皮维管束旁。呈长条形、棱形或椭圆形,直径5~26μm,具网状增厚壁,网孔大,有的具螺状网纹增厚壁,宛如螺纹导管样。(图见徐国钧等《中药材粉末显微鉴定》.第1版.第499页.图243)

【化学】:

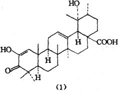
覆盆子果实含有覆盆子酸(Fupenzic acid)(1)[1]、覆盆子甙(Goshonoside F5)[2]、鞣花酸(逆没食子酸、并没食子酸、Ellagic acid)、β-谷甾醇[3]、氨基酸、糖、维生素C[4]及磷脂类化合物[5]

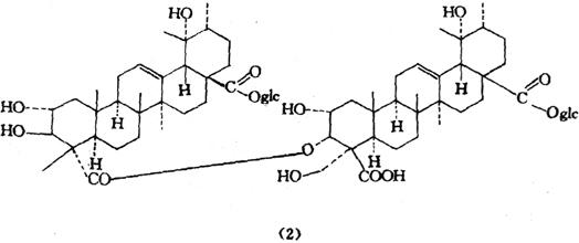
插田泡(R.coreanus)含28β-D-Glucopyranosyl 2α,3β,19α,23-tetrahydroxyurs-12-en-28-oate[6]及其双分子化合物插田泡甙F1(Coreanoside F1)(2)[7]

注:覆盆子(R.chingii)的文献中记述含有悬钩子甙(Rubusoside),亦有专利[8],系误用植物来源,实为甜叶悬钩钩子(R.suavissimus S.Lee)叶的成分[2,9,10]

参考文献 [1] Phytochemishtry,1988∶27(12)∶3975 [2] Chem Pharm Bull,1987;35(7)∶3021 [3] 中草药 1981;12(6)∶19 [4] 植物资源与环境 1996;5(3)∶6 [5] 中草药 1989;20(7)∶15(303) [6] CA 1988;108∶118802q [7] Phytochemistry,1990∶29(10)∶3275 [8] CA 1983;98∶P177837c [9] Phytochemistry,1984;23(2)∶615 [10] Chem Pharm Bull,1991;39(9)∶2443

。【药理】:

以大鼠、兔的阴道涂片及内膜切片作观察指标,覆盆子似有雌激素样作用。

参考文献 江苏新医学院 中药大辞典.下册.上海人民出版社,1977∶2698

【药性】:

性味 甘、酸,平。

❶ 《别录》:“味甘,平。”
❷ 《千金·食治》:“味甘、辛,平。”
❸ 《药性论》:“微热,味甘、辛。”
❹ 孟诜:“味酸。”

归经 《滇南本草》:“入肝、肾二经。”

功效 补肝肾,缩小便,助阳,固精,明目。

主治 阳痿,遗精,尿频,虚劳,目暗。 ❶ 《别录》:“主益气轻身,令发不白。”
❷ 《药性论》:“主男子肾精虚竭,女子食之有子。主阴痿。”
❸ 《日华子本草》:“疗中风身热及惊。”
❹ 《开宝本草》:“补虚续绝,强阴健阳,悦泽肌肤,安和脏腑,温中益力,疗劳损风虚,补肝明目。”
❺ 《本草蒙筌》:“治肾伤精竭流滑。”
❻ 《本草述》:“治劳倦,虚劳,肝肾气虚恶寒,肾气虚逆咳嗽、痿、消瘅、泄、赤白浊,鹤膝风,诸见血症及目疾。

用法用量 内服:煎汤,4.5~9g;浸酒、熬膏或入丸散。

使用注意 肾虚有火,小便短涩者慎服。 ❶ 《本草经疏》:“强阳不倒者忌之。”
❷ 《本草汇言》:“肾热阴虚,血燥血少之证戒之。”
❸ 《本草从新》:“小便不利者勿服。”

【临床应用】:

配伍应用 ❶ 配桑螵蛸、益智仁、仙灵脾,治遗尿、尿频。

❷ 配补骨脂、肉苁蓉,治阳痿早泄,腰膝酸冷。
❸ 配杜仲、金毛狗脊,治肾虚足冷,腰腿无力。
❹ 配天麻、旱莲草、菟丝子、太子参,治肾虚头晕,目睛胀痛。
❺ 配仙灵脾、巴戟天、锁阳,治阳痿不举、男性不育症。

❻ 配龙骨、肉桂、牡蛎,治小便失禁,遗尿。
❼ 配熟地黄、全当归、鹿角胶、桑螵蛸,治妇女气血虚惫,久不成妊娠。
❽ 配芡实、枸杞子、远志肉、山茱萸,治男子肾虚,阳痿遗精,久不生育。
❾ 配当归、红参须、鹿茸,治小儿脑积水。

方选和验方 ❶ 五子衍宗丸(《摄生众妙方》)添精补髓,疏利肾气,不问下焦虚实寒热:枸杞子300g,菟丝子300g(酒蒸,捣饼),五味子75g(研碎),覆盆子150g(酒洗,去目),车前子75g,俱择精新者,焙晒干,共为细末,炼蜜丸,梧桐子大,每服90丸,空心沸水或盐汤下,晚睡前服50丸,日早晚各1次。

冬月温酒送服。

❷ 《全国中草药汇编》:“治遗尿:覆盆子、桑螵蛸、菟丝子、龙骨、牡蛎各9g,肉桂3g,五味子4g。水煎去渣服,分2次服,日1剂。


❸ 养真丸(《中国古代房室养生集要》)治妇人血虚气惫,阴阳不升降,久不成妊娠者:覆盆子、熟地黄、全当归、肉苁蓉、菟丝子、紫石英、鹿茸、桑螵蛸各60g,五味子、真琥珀、白芍、川芎、桑寄生、卷柏、艾叶、生姜、茯苓、人参、牡蛎、酸枣仁各30g,钟乳粉120g。同研为细末,酒煮面和丸如梧桐子大,食前,温酒吞服,每次服50丸,每日服3次,服后食粥少许。

❹ 河车种子丸(《中国古代房室养生集要》)治男子不育:覆盆子(酒蒸)、麦门冬(去心)、补骨脂(盐酒浸炒)、生地(酒洗)、枸杞子、熟地、淮山药、川黄柏(盐酒蜜制炒3次)各90g,当归(酒洗)、天门冬、人参、五味子、巴戟天(酒浸)、川牛膝(酒炒)、茯苓、锁阳(酒洗、酥炙)、白术(炒)、杜仲(酒炒)各60g,山茱萸120g,陈皮、肉桂各15g。上同为细末,紫河车1具洗净,煮烂捣如泥,加入药末共捣炼蜜丸梧桐子大。

每次服100丸,食前,温酒或盐汤送服,日服2~3次。
❺ 十子丸(《中国古代房室养生集要》)治男子不育:“覆盆子、枸杞子、桑椹子、冬青子、槐角子各125g,菟丝子、柏子仁、没石子、蛇床子、五味子各60g。同以酒蒸,焙干研为细末,炼蜜为丸如梧桐子大,每服50~60丸,空心服,淡盐汤或温开水下。服后食粥少许。
❻ 萃仙丹(《全国中药成药处方集》)治肾虚腰痛,阳痿早泄:覆盆子、菟丝子、金樱子、川断、泽泻、炙甘草、川楝子、沙苑子、莲须各30g,山萸肉120g,芡实60g。同研为细末,炼蜜为丸如梧桐子大,每服6g,日2~3服,温开水下。
❼ 滋阴百补丸(《全国中药成药处方集》)治男子肾阴虚损,身体瘦弱,面色萎黄,步行无力,腰腿酸痛、阳痿遗精:覆盆子、白茯苓、柏子仁、当归、莲须、沙蒺藜、锁阳、酸枣仁(炒)、山茱萸、女贞子、牛膝、芡实、枸杞子、远志肉、巴戟天、菟丝子各120g,鱼鳔500g。同研为细末,酒糊丸如梧桐子大。

每服6g,空心白开水或淡盐汤送服,日服3次。
❽ 中医杂志 1984;(4):“治遗尿症:覆盆子、金樱子、菟丝子、五味子、仙茅、山萸肉、补骨脂、桑螵蛸各60g,丁香、肉桂各30g。同研为细末,取1g填入脐孔,滴入白酒2~3滴,外盖纱布、胶布。

每2~3天换1次。

并同时服上述药粉,每日早、晚各服1次,每次量:3~10岁,3~5g;10岁以上5~6g,并按体质、病情,酌情增减。口服药粉时,可加白糖调拌。


❾ 中医杂志 1991;(8):“治小儿脑积水:覆盆子、当归、红参须、紫河车、鹿茸各15~20g。研为细末,每服1~2g,开水调服。”
❿ 《中华进补大全》:“治肝肾不足,视力模糊,视力减退,须发早白:覆盆子、黄芪、肉苁蓉、熟地各12g,牛膝、远志各9g,五味子6g。女贞子、何首乌各10g。水煎服,每日1剂。”

单方应用 ❶ 《濒湖集简方》:“治阳事不起:覆盆子酒浸,焙干为末,每次服10g,温酒下。”
❷ 《本草衍义》:“治肺虚寒,小便濒数:覆盆子取汁,加蜜少许,同煎熬成膏,每服3g,日3~4次。”
❸ 《全国中草药汇编》:“治阳痿、早泄、肾虚尿频:覆盆子5~10g,水煎服。”。【医药家论述】:

❶ 李时珍:“南土覆盆极多,悬钩是树生,覆盆是藤生,子状虽同,而覆盆色乌赤,悬钩色红赤,功亦不同。”“覆盆,蓬蘽功用大抵相近,虽是二物,其实一类而二种也,一早熟,一晚熟,兼用无妨。其补益与桑椹同功。若树莓则不可混采者也。”
❷ 缪希雍《本草经疏》:“覆盆子,其主益气者,言益精气也。肾藏精、肾纳气,精气充足,则身自轻,发不白也。苏恭主补虚续绝,强阴健阳,悦泽肌肤,安和脏腑。甄权主男子肾精虚竭,阴痿,女子食之有子。大明主安五脏,益颜色,养精气,长发,强志。

皆取其益精添髓,甘酸收敛之义耳。”
❸ 李中梓《本草通玄》:“覆盆子,甘平入肾,起阳治痿,固精摄溺,强肾而无燥热之偏,固精而无凝涩之害,金玉之品也。”
❹ 张德裕《本草正义》:“覆盆为滋养真阴之药,味带微酸,能收摄耗散之阴气而生精液。故寇宗奭谓益肾缩小便,服之当覆其溺器,语虽附会,尚为有理。

《本经》主安五脏。脏者阴也。凡子皆坚实,多能补中,况有酸收之力,自能补五脏之阴而益精气。凡子皆重,多能益肾,而此又专入肾阴,能坚肾气,强志倍力有子,皆补益肾阴之效也。

《别录》益气轻身,令发不白,仍即《本经》之意。惟此专养阴,非以助阳。《本经》《别录》并未言温。其以为微温微热者,皆后人臆测之辞。一似凡补肾者皆属温药。不知肾阴肾阳药物各有专主。滋养真阴者,必非温药。”
❺ 林祖庚:“在中西医结合治疗男性性功能疾病4000例总结《中国性学会第一届全国学术交流会论文选编》中,用于阳痿、早泄、射精不能等病症中,常用中药有巴戟天、肉苁蓉、覆盆子、菟丝子、锁阳、淫羊藿等;其中覆盆子性甘平、补肾养阴、效果甚佳。”

随便看

 

离鸟网收录3541549条中英文词条,其功能与新华字典、现代汉语词典、牛津高阶英汉词典等各类中英文词典类似,基本涵盖了全部常用中英文字词句的读音、释义及用法,是语言学习和写作的有利工具。

 

Copyright © 2004-2024 vtrois.com All Rights Reserved
更新时间:2026/4/19 16:23:39