西那洛尔
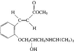
C16H23NO4=293.36 CAS-39099-98-4 (E)-邻-[2-羟-3-(异丙氨基)丙氧]-肉桂酸甲酯。 Methyl(E)-o-[2-hydroxy-3-(iaopropylamino)propoxy]cinnamate. (±)-(E)-甲基-3-[2-[2-羟基-3-[(1-甲基乙基)氨基]丙氧基]苯基]-2-丙烯酸酯。 (±)-(E)-Methyl-3-[2-[2-hydroxy-3-[(1-methylethyl)amino]-prpoxy]phenyl]-2-propenoate. β-受体阻滞药。 西那模洛。 Cinamolol, INN,USAN. 
|