网站首页  词典首页


请输入您要查询的字词:

 

字词 西那林
类别 中英文字词句释义及详细解析
释义 西那林

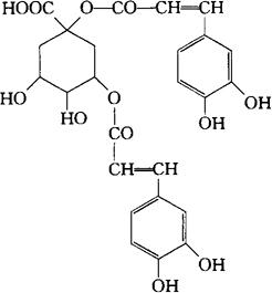
C25H24O12=516.46

CAS-1884-24-8

3,4-二羟肉桂酸1-羧-4,5-二羟-1,3-环己烯醇酯。

3,4-Dihydroxycinnamic acid,1-carboxy-4,5-dihydroxy-1,3-cyclohexylene ester.

1,5-双[[3-(3,4-二羟苯基)-1-氧代-2-丙烯基]氧]-3,4二羟环己烷羧酸。

1,5-bis[[3-(3,4-Dihydroxyphenyl)-1-oxo-2-propenyl oxy]-3,4-dihydroxycyclohexanecarboxyhc acid.

利胆药。用于降低胆固醇和脂蛋白。

菜蓟素,赛那林。

Cynarine,Plemocil,Nivellipid,Cynarex.

INN,USAN,MI.

随便看

 

离鸟网收录3541549条中英文词条,其功能与新华字典、现代汉语词典、牛津高阶英汉词典等各类中英文词典类似,基本涵盖了全部常用中英文字词句的读音、释义及用法,是语言学习和写作的有利工具。

 

Copyright © 2004-2024 vtrois.com All Rights Reserved
更新时间:2026/4/18 3:14:19