网站首页  词典首页


请输入您要查询的字词:

 

字词 西索菲兰
类别 中英文字词句释义及详细解析
释义 西索菲兰

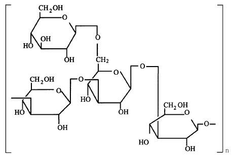
【化学名称】聚[3→[O-β-D-吡喃葡糖基-(1→3)-O-[β-D-吡喃葡糖基-(1→6)]-O-β-D-吡喃葡糖基-(1→3)-O-β-D-吡喃葡糖基]→1]

【化学结构】

【药理作用】本品为抗肿瘤药。

1.动物实验单独给药对狗由N-乙基-N′-硝基-N-亚硝基胍(ENNG)诱发的自身肿瘤有延长生命的作用。对同种移植的MM46-C3H/He系统、NR-S1-C3H/He系统、YM-12-C57BL/6系统及AMC-60-ACI/N系统肿瘤的生长有抑制作用。对同种移植的MH134-C3H/He系统、腺癌755-C57BL/6系统、BC-47-ACI/N系统及SMT-5-SHR系统有延长生命的作用。对同种移植的Lewis肺癌C57BL/6系统及淋巴瘤-叙利亚金色田鼠系统的肿瘤转移有抑制作用。

2.对同种移植的NR-S1-C3H/He系统及MM-46-C3H/He系统与放射疗法并用对肿瘤生长有抑制作用。

3.对甲基胆蒽诱发的ICR/Jc1系统自身肿瘤,与环磷酰胺或6-巯基嘌呤合用有延长生命的作用。对同种移植的-16-C57BL/

6系统及Meth-A-BALB/c系统肿瘤,与5-氟尿嘧啶合用有延长生命的效果。对L-1210-BDF1系统肿瘤与 MFC(丝裂霉素C、5-氟尿嘧啶、阿糖胞苷)并用有延长生命的效果,对 X-5563-C3H/He系统肿瘤与丝裂霉素 C 合用有延长生命的效果。

小鼠、大鼠急性毒性 LD50 mg/kg):肌注>100,兔>50。大鼠及狗亚急性、慢性毒性试验除见注射部位局部硬结及网状内皮细胞激活外未见其他组织损害。对大鼠无致畸作用。对大鼠、兔、田鼠不产生变态反应。无诱变性。

【药代动力学】小鼠及大鼠肌注后 12 ~ 24h达血药浓度峰值,在肝脏库普弗细胞、脾脏、淋巴结、骨髓网状内皮细胞以及巨噬细胞有较高的分布,其他组织分布量低。在脑和神经系统中几乎未见分布。在带癌动物肿瘤中及其周围有较高的分布。妊娠动物的胎盘中有低浓度分布,胎儿及羊水中则未见分布。本品在网状内皮系统中保持基本结构,然后发生降解而通过尿、粪及呼气排出体外。

【适应证】增强子宫颈癌放射疗法的疗效。

【剂量与用法】肌注,一般与放射疗法并用,每周 40 mg,分 1~2次,按症状适当增减。

【临床评价】以子宫颈癌为对象,进行本品与放射疗法并用的随机对照试验。放射疗法各医院的照射方法及放射剂量均相同。本品1周 40 mg分 1 ~ 2次肌肉注射。与单用放射疗法的96例相比,并用本品组(99例)子宫颈癌肿瘤缩小的效果明显高于单用放疗组,肿瘤复发时间明显延缓,生存期也有延长的倾向。对不能切除或复发的胃癌、术后胃癌(辅助疗法)与化疗并用,肺癌与化疗或放疗并用,也正在进行充分的评价。

【不良反应】休克罕见,应严密观察,发生胸闷、呼吸困难、嗳气、畏寒、战栗、冷汗、脸色苍白、血压下降等症状时应中止给药,适当处置。偶见皮疹、发热等过敏症状,此时应中止给药。

偶见注射部位发红、硬结、肿胀、疼痛、热感,此时应变换注射部位、减量或中止给药。偶见恶心、呕吐,罕见食欲不振。

其他:偶见淋巴结肿胀,罕见面色潮红、冷汗、支气管哮喘样症状。1434例中不良反应发生率 4.1 %(59例)。

【注意事项】1.禁用于对本品有休克史的病人,慎用于有药物过敏史的病人及本人或双亲、弟兄有易发生支气管哮喘、皮疹、荨麻疹等变态反应的体质的病人。

2.对孕妇的安全性未确立,使用本品应权衡利弊慎用,对儿童尚无使用经验。

3.本品不要在同一部位反复注射。应避开神经走行部位。注射针刺入时如病人剧痛或有血液逆流,应即拔出针头改变部位注射。

【制剂规格】肌肉注射液:每安瓿(2 ml)含本品 20 mg,10支装。

【贮存】室温保存,有效期 3年。

【生产厂家】日本科研制药公司。

随便看

 

离鸟网收录3541549条中英文词条,其功能与新华字典、现代汉语词典、牛津高阶英汉词典等各类中英文词典类似,基本涵盖了全部常用中英文字词句的读音、释义及用法,是语言学习和写作的有利工具。

 

Copyright © 2004-2024 vtrois.com All Rights Reserved
更新时间:2026/4/18 12:10:15