网站首页  词典首页


请输入您要查询的字词:

 

字词 西洋参
类别 中英文字词句释义及详细解析
释义 西洋参

【名称出处】:《纲目拾遗》

【概况】:

异名 西洋人参(《本草从新》),洋参(《药性考》),西参(《增订伪药条辨》),花旗参(通称)。

基源 为五加科人参属植物西洋参的根。

原植物 西洋参Panax quinquefolia L.

历史 18世纪初叶,美国入Lafiteau在加拿大的森里发现类似于中国人参的植物,此植物早为林奈Linnaeus,C.订名为Panax quinquefolia L,即为西洋参,产于加拿大的缅因州,向南分布到美国的佛罗里达州和明尼苏达州等地。

因其性较缓和,适宜于老年体弱者服用,后渐传入中国。

最早在庐山植物园引种栽培成功,现中国东北地区有大面积栽培。

形态 多年生草本,高2.5cm左右,全体无毛。根茎短,根肉质,圆锥形,有时分歧。

茎圆柱形,有纵条纹或略具棱。掌状5出复叶,叶柄长5~7cm,通常3~4枝轮生于茎端;小叶片膜质,广卵形至倒卵形,长4~9cm,宽2.5~5cm,先端急尖,基部阔楔形,小叶柄长约1.5cm,下部2片小叶最小,近于无柄。总花梗由茎端叶柄中央抽出,较叶柄稍长或近于等长;伞形花序,花多数,花柄细而短,基部有卵形小苞片1枚;萼绿色钟状,先端5齿裂,裂片钝头,萼筒基部有三角形小苞片1枚;花瓣5,绿白色,长圆形;雄蕊5,花丝基部稍宽,花药卵形至长圆形;雌蕊1,子房下位,2室,花柱2,上部分离呈叉状,下部合生:花盘肉质环状。浆果扁圆形,熟时鲜红色,果柄伸长。花期7月,果期9月。(图见《中国药用植物志》.第6册.图282)

生境与分布 原产北美洲。

近年来中国东北地区多有栽培。

西洋参与人参相近,其不同点在于西洋参总花梗与叶柄近等长或稍长,小叶片倒卵形,上面几无刚毛,边缘的锯齿不规则且较粗大。根部圆锥形,较短。。

【生药】:

采集 选取种植3~6年的根,于秋季挖采,除去分枝、根须,晒干。

喷水湿润,撞去外皮,再用硫黄熏后晒干。也有挖起后即连皮晒干或焙干。药材主产于北美洲,中国吉林、河北、山东、福建等地有引种栽培。

鉴别

性状 全须生晒洋参主根圆柱形、短圆柱形(下部有支根分歧者),圆锥形或纺锤形(下部无支根分歧者),长1 5~9cm,直径0.5~3cm;表面淡黄色、灰黄色或土黄色,有纵皱和密集的横纹及少数横长的皮孔。根茎被除去或残留,圆柱形或扁圆柱形,长0.1~1.3cm,直径0.1~1cm,具1~4个凹窝状茎痕,有时可见不定根;支根无或2~6个,根须具疣状突起。质硬脆,断面淡黄白色,可见棕色环,皮部散有红棕色或黄棕色小点(树脂道及油管),具放射状裂隙。

气微,味苦、微甘。

生晒洋参,与全须生晒洋参相似,但支根已除去。

进口西洋参,多加工成生晒洋参,又称“原皮西洋参”,表面灰黄色、棕黄色或土黄色,横纹较明显,大多无根茎,质坚硬而重。

理化 取样品粉末适量,加乙醚置水浴上回流1小时,弃去乙醚液,残渣用70%乙醇回流提取1小时,提取液在水浴上蒸至近干,加水适量溶解残留物,水溶液移至分液漏斗中,用水饱和的正丁醇萃取5次,将正丁醇萃取液减压浓缩至近干,加甲醇溶解,使成每1ml相当于0.5~1g原药材的供试液,点于硅胶H板上,以氯仿-乙酸乙酯-甲醇-水(15142210)下层液为展开剂,以人参皂甙-Rb1、Rg1为对照。预饱和15分钟,展开,展距12~14cm,取出,立即用热气流吹干,喷以10%硫酸乙醇液,立即于110~120℃加热数分钟显色,置日光及紫外光灯(365nm)下检视。(图见《中药材薄层色谱鉴别》.图85)

加工炮制 取原药材,去除杂质,用适量清水闷润,待软后切片,晒干。

贮藏 置阴凉干燥处,防霉,防蛀。。【化学】:

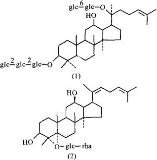
1854年从加拿大西洋参根中得到无定形西洋参圭能甙(Panaquilon),一个世纪后深入研究才分得人参皂甙-R0、-Rb1、-Rb2、-Rc、-Rd、和-Rc[1];从茎中得人皂甙-Rg1、-Rd、-Re、A1和C[2],并证明A1为假人参皂甙-F11,C为人参皂甙-Rb3;辽宁产的西洋参中得到人参皂甙-R0、-Rb1、-Rb2、-Rc、-Rd、-Re、-Rf、-Rg1、-Rg2、-Rg3、-Rh1和新成分-RA0(Ginsenoside-RA0)(1)为20(S)原人参二醇-3-[-0-β-D-葡萄吡喃糖基(1→2)β-D-葡萄糖吡喃糖基(1→2)β-D葡萄糖吡喃糖基,20-[-0-β-D-葡萄吡喃糖基(1→6)β-D-葡萄吡喃糖甙[3]

微量20(R)-原人参二醇和新成分人参皂甙-Rg4为[3β12β一三羟-20(22),24一达玛二烯-6-0-α-L-鼠李吡喃糖基-(1→2)-葡萄吡喃糖甙(2)[4];人参皂甙类的甙元为达玛烷型(人参二醇和人参三醇)和齐墩果酸烷型[5~7]

果胶3%~4%,其组成为半乳糖酸、半乳糖、阿拉伯糖、鼠李糖、木糖;总淀粉36%~68.6%,总糖68%~74%,单寡糖26%~32%[8];还有蔗糖、人参三醇[3]

氨基酸16种,主根含5.932%,须根7.737%,茎3.372%,叶11.723%,花蕾13.922,果实5.006%[3]

挥发油中已检出45种成分,其中15种倍半萜,以反式β-金合欢烯含量最高[9,10];16种无机元素[11],其他还有棕榈酸和齐墩果酸[3]、豆甾烯醇、豆甾-3,5-二烯-7-酮[12]、胡萝卜甙等。

参考文献 [1] 生药学杂志(日) 1978;32(2):96 [2] Planta Med 1981;42(4):406 [3] 药学学报 1987;22(10):750 [4] 吉林农业大学科研论文集,1988:433 [5] 吉林农业大学学报 1979;(1):5 [6] 特产科学研究(西洋参专辑) 1981:56 [7] 中药材科技 1981;(2):26 [8] 中国药学杂志 1989;24(4):207 [9] 药学通报 1987;22(7):401 [10] 中成药研究 1985;(12):29 [11] 西北植物学报 1987;7(4):266 [12] 吉林农业大学学报 1988:(1):22

。【药理】:

❶ 对心血管的作用 西洋参皂甙具有抗心律失常的作用,西洋参皂甙60mg/kg iv能对氯仿诱发的小鼠室颤,对垂体后叶制剂所致大鼠心肌缺血和心律失常均有明显拮抗作用;80mg/kg iv对氯化钡诱发大鼠心律失常具有明显的预防和治疗作用,能明显提高哇巴因诱发豚鼠室早、室迷、室扑、室扑颤以及停搏的阈剂量[1]

西洋参茎叶皂甙对家兔实验性心肌梗塞具有明显的保护作用,减轻胸前多导联心电图的缺血性变化,缩小心肌梗塞面积,可抑制梗塞后高凝状态的发展[2]。西洋参茎叶皂甙具有抗休克的作用,机理可能是: 1)抑制交感-肾上腺髓质系统的兴奋性,减少NA的合成与释放,从而改善微循环的灌流状态。

2)抑制心肌膜结构的过氧化,保护细胞膜及亚微结构功能与结构的相对完整,从而改善心肌收缩性能[3]
❷ 应激作用 西洋参根皂甙在热应激的警觉期能抑制小鼠直肠温度的升高[4]。西洋参总皂甙连续6dip,可明显对抗ACTH引起的大鼠维生素C的降低,并能减轻ACTH引起的小鼠胸腺及脾脏的萎缩[5]。西洋参总皂甙具有增强机体对缺氧的耐受能力,延长小鼠负重游泳时间[6]

此外,还能降低中枢兴奋药戊四氮与士的宁所引起的惊厥率和死亡率[7,8]
❸ 其它作用 西洋参能提高机体免疫功能[9]。西洋参水提物能缩短小鼠静脉出血时间[10]

毒性 西洋参总皂甙以450mg/kg给小鼠ip,观察7d内动物的变化,仅见到注射后2~3h内小鼠活动明显减少,出现闭目、呼吸较慢等镇静现象,嗣后动物的活动、饮食等均恢复正常,未见动物死亡[8]

参考文献 [1] 沈阳药学院学报 1985;2(4):273 [2] 白求恩医科大学学报 1990;16(3):229 [3] 中华医学杂志 1990;70(7):411 [4] 沈阳药学院学报 1986;3(3):170 [5] 同济医科大学学报 1987;(3):171 [6] 福建医药杂志 1988;10(5):33 [7] 中医杂志 1980;(10):73 [8] 福建医药杂志 1988;10(2):35 [9] 广西中医药 1989;12(5):45 [10] 中国中药杂志 1989;14(12):48

。【药性】:

性味 甘、微苦,凉。

❶ 《本草从新》:“苦、微甘,寒。”
❷ 《本草再新》:“甘、辛,凉。”

归经 入心、肺、肾三经。

功效 益肺阴,清虚火,生津止渴。

主治 肺虚久嗽,失血,咽干口渴,虚热烦倦。 ❶ 《本草从新》:“补肺降火,生津液,除烦倦。虚而有火者相宜。”
❷ 《药性考》:“补阴退热。姜制益气,扶正气。


❸ 《本草再新》:“治肺火旺,咳嗽痰多,气虚呵喘,失血,劳伤,固精安神,生产诸虚。”
❹ 《本草求原》:“清肺肾,凉心脾以降火,消暑,解酒。”
❺ 《医学衷中参西录》:“能补助气分,并能补益血分。”

用法用量 内服:煎汤(另煎和服),2.5~6g。

使用注意 中阳衰微,胃有寒湿者忌服。 《本草从新》:“脏寒者服之,即作腹痛,郁火服之,火不透发,反生寒热。”

【临床应用】:

配伍应用 ❶ 配生地、沙参,治热病气阴两伤,烦倦口渴。

❷ 配麦冬、川贝母,治阴虚火旺,喘咳痰血。
❸ 配石斛、白木耳,治萎缩性胃炎、中虚挟瘀。

❹ 配当归、熟地,治气血虚弱。
❺ 配远志、酸枣仁,治神经衰弱和植物神经紊乱。

❻ 配浮小麦、五味子,治气虚自汗。
❼ 配麦冬、五味子,治感染性多发性神经炎。

❽ 配五味子、玄参、丹皮等,治大肠杆菌败血症合并中毒性休克。
❾ 配天冬、黄柏、地黄,治相火亢盛遗精症。

❿ 配黄芪、丹参、熟地等,治糖尿病。 ⑾配麦冬、川连,治中毒性消化不良。

⑿配牡蛎、鳖甲等,治疫喉痧。

方选和验方 ❶ 荣胃散(《千家妙方》)治萎缩性胃炎脾胃虚弱挟瘀证:西洋参60g,金钗石斛60g,白木耳60g,香蘑菇60g,灵芝60g。

共为细末,装入胶囊,每日3次,每次3~4粒。
❷ 加味脾胃健运汤(《千家妙方》)治中毒性消化不良(脾胃阴伤,肝木横逆):西洋参2.1g(药液煎服),麦冬9g,北五味肉3g,干葛根4.5g,川连3g,白芍3g,乌梅1个,茯苓12g,南豆12g,木瓜9g。水煎服,1日分3次服用。
❸ 西洋参桂凤大补液(福建中医药 1986;(3))治诸虚证:西洋参、乌骨鸡、桂圆肉、玉竹等药物,经醇提及水提精制而成,每支10ml,每日早晚空腹各1支,温开水送服,连服3周为1疗程。
❹ 生脉汤(江苏中医杂志 1983;(3))治流行性出血热休克:种洋参9g,麦冬30g,五味子3g。每日1~2剂,不能口服者鼻饲,直至血压稳定。

❺ 克糖灵(中西医结合杂志 1990;(3))治Ⅱ型糖尿病:西洋参0.3g,黄芪6g,丹参6g,熟地6g,王不留行6g,大黄0.6g,加优降糖2.5mg(1片),共研粉为1袋,每日1袋分3次服,3个月为1疗程。
❻ 益气养阴合剂(南京中医学院学报 1990;(1))治成年型糖尿病:种洋参6g,麦冬15g,五味子3g,黄芪15g,淮山药50g,地骨皮30g,知母12g,枸杞子15g,生地15g,天花粉30g,白芍12g,何首乌15g,鸡内金10g。每日1剂,头煎2煎混匀,早晚各服1次,每20天为1疗程。

❼ 胡氏肺炎方(《中国中医秘方大全》)治伤阴型病毒性肺炎:种洋参(煎汤代茶频服)5g,生地20g,北沙参20g,玄参12g,白芍12g,麦冬12g,紫菀12g,贝母6g,丹皮6g,黄芩10g,郁金6g,甘草8g。水煎服。

食疗 《类聚要方》:“治肠红:西洋参蒸桂圆服之。”。【医药家论述】:

❶ 张锡纯《医学衷中参西录》:“西洋参,性凉而补,凡欲用人参而不受人参之温补者,皆可以此代之。惟白虎加人参汤中之人参,仍宜用党参,而不可代以西洋参,以其不若党参具有升发之力,能助石膏逐邪外出也。且《本经》谓人参味甘,未尝言苦,适与党参之味相符,是以古之人参,即今之党参,若西洋参与高丽参,其味皆甘而兼苦,故用于古方不宜也。”
❷ 曹炳章《增订伪药条辨》:“西洋参滋阴降火,东参提气助火,效用相反,凡是阴虚火旺,劳嗽之人,每用真西参,则气平火敛,咳嗽渐平,若用伪光参,则反现面赤舌红,干咳痰血,口燥气促诸危象焉。”
❸ 赵其光《本草求原》:“肺气本于肾,凡益肺气之药,多带微寒,但此则苦寒,唯火盛伤气,咳嗽痰血,劳伤失精者宜之。”

随便看

 

离鸟网收录3541549条中英文词条,其功能与新华字典、现代汉语词典、牛津高阶英汉词典等各类中英文词典类似,基本涵盖了全部常用中英文字词句的读音、释义及用法,是语言学习和写作的有利工具。

 

Copyright © 2004-2024 vtrois.com All Rights Reserved
更新时间:2026/4/17 20:18:39