西江月
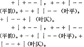
词牌名,属中吕宫(见《乐章集》)。 本唐教坊曲名,后用作词牌。清季敦煌发现唐琵琶谱,犹存此调,但虚谱无词,词最早见于五代欧阳炯词,入宋则柳永用调为早。明杨慎认为此调由李白《苏台览古》一诗:“旧苑荒台杨柳新,菱歌清唱不胜春。只今惟有西江月,曾照吴王宫里人”取名(见杨慎《词品》)。异名有《玉炉三洞雪》、《白苹香》、《江月令》,《步虚词》、《晚香时候》、《壶天晓》、《双锦瑟》等。宋人柳永张先等最早选用此调。双调小令,共5体。用韵有平韵叶韵和平仄两押两种。 平韵叶韵者,前后阕的首句无韵,二三两句用平韵,第四句押原韵的仄声韵,即所谓叶韵。亦有末句押平韵者。 沈义父《乐府指迷》说:“西江月第二句平声韵,第四句将平声切去押仄声韵,如平声押‘东’字,仄声须押‘董’、‘冻’字韵,不可随意押入他韵。”平仄两押者,或上下阕一、四句押仄韵,二、三句押平韵,或首句不韵,二、三句平韵,末句押仄韵。 ”通常以柳永词为正体:双调50字,上下阕各4句两平韵1叶韵。以柳永《西江月·凤额绣帘》为例,词谱如下: 
|